Đề thi thử THPT Quốc gia năm 2016 môn Toán trường THPT Yên Thế, Bắc Giang (Lần 2)
Đề thi thử THPT Quốc gia năm 2016 môn Toán
Nhằm giúp các bạn thi sinh luyện đề THPT Quốc gia môn Toán hiệu quả nhất, VnDoc.com tiếp tục sưu tầm và đăng tải những đề thi chất lượng của các trường THPT Quốc gia trên cả nước để các bạn ôn tập. Mời các bạn tham khảo đề thi thử THPT Quốc gia năm 2016 môn Toán trường THPT Yên Thế, Bắc Giang (Lần 2) có đáp án đi kèm.
Đề thi thử THPT Quốc gia năm 2016 môn Toán trường THPT Yên Thế, Bắc Giang (Lần 3)
Đề thi thử THPT Quốc gia môn Toán năm 2016 trường THPT Chuyên Sư phạm Hà Nội (Lần 1)
| TRƯỜNG THPT YÊN THẾ |
ĐỀ THI THỬ ĐẠI HỌC LẦN II LỚP 12 NĂM HỌC 2015 – 2016 Môn: TOÁN Thời gian làm bài: 180 phút, không kể thời gian phát đề |
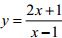
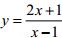
Câu 1 (2,0 điểm). Cho hàm số
(1).
a) Khảo sát sự biến thiên và vẽ đồ thị (C) của hàm số (1).
b) Viết phương trình tiếp tuyến của (C), biết tiếp điểm có hoành độ x = 2.
Câu 2 (1,0 điểm).
a) Tìm số hạng chứa x5 trong khai triển nhị thức Niu-tơn của
, x ≠ 0.
b) Giải phương trình
.
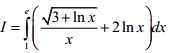
Câu 3 (1,0 điểm). Tính tích phân
.
Câu 4 (1,0 điểm). Trong mặt phẳng với hệ toạ độ Oxy, cho tam giác ABC có đỉnh A thuộc đường thẳng d: x - 4y - 2 = 0, cạnh BC song song với đường thẳng d, phương trình đường cao BH là x + y + 3 = 0 và trung điểm cạnh AC là M (1; 1). Tìm toạ độ các đỉnh của tam giác ABC.
Câu 5 (1,0 điểm).
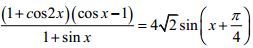
a) Giải phương trình ![]()
b) Trong kì thi THPT quốc gia, An làm đề thi trắc nghiệm môn Hoá học. Đề thi gồm 50 câu hỏi, mỗi câu có 4 phương án trả lời, trong đó chỉ có một phương án đúng; trả lời đúng mỗi câu được 0,2 điểm. An trả lời hết các câu hỏi và chắc chắn đúng 45 câu; 5 câu còn lại An chọn ngẫu nhiên. Tính xác suất để điểm thi môn Hoá học của An không dưới 9,5 điểm.
Câu 6 (1,0 điểm). Cho hình chóp S.ABCD có đáy ABCD là hình thang cân (BC//AD). Biết đường cao SH bằng a, với H là trung điểm của AD, AB = BC = CD = a, AD = 2a. Tính thể tích khối chóp S.ABCD và khoảng cách giữa hai đường thẳng SB và AD theo a .
Câu 7 (1,0 điểm). Trong mặt phẳng với hệ toạ độ Oxy, cho hình chữ nhật ABCD. Gọi H là hình chiếu vuông góc của B trên AC, M và N lần lượt là trung điểm của AH và BH, trên cạnh CD lấy điểm K sao cho MNCK là hình bình hành. Biết M(9/5; 2/5), K(9; 2) và các đỉnh B, C lần lượt nằm trên các đường thẳng có phương trình 2x - y + 2 = 0 và x - y + 5 = 0, hoành độ đỉnh C lớn hơn 4. Tìm toạ độ các đỉnh A, B, C, D.
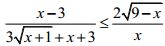
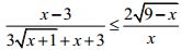
Câu 8 (1,0 điểm). Giải bất phương trình
trên tập số thực.
Câu 9 (1,0 điểm). Cho các số thực dương a, b, c thoả mãn điều kiện a + b + c = 3. Tìm giá trị lớn nhất của biểu thức
![]()
Đáp án đề thi thử THPT Quốc gia năm 2016 môn Toán



