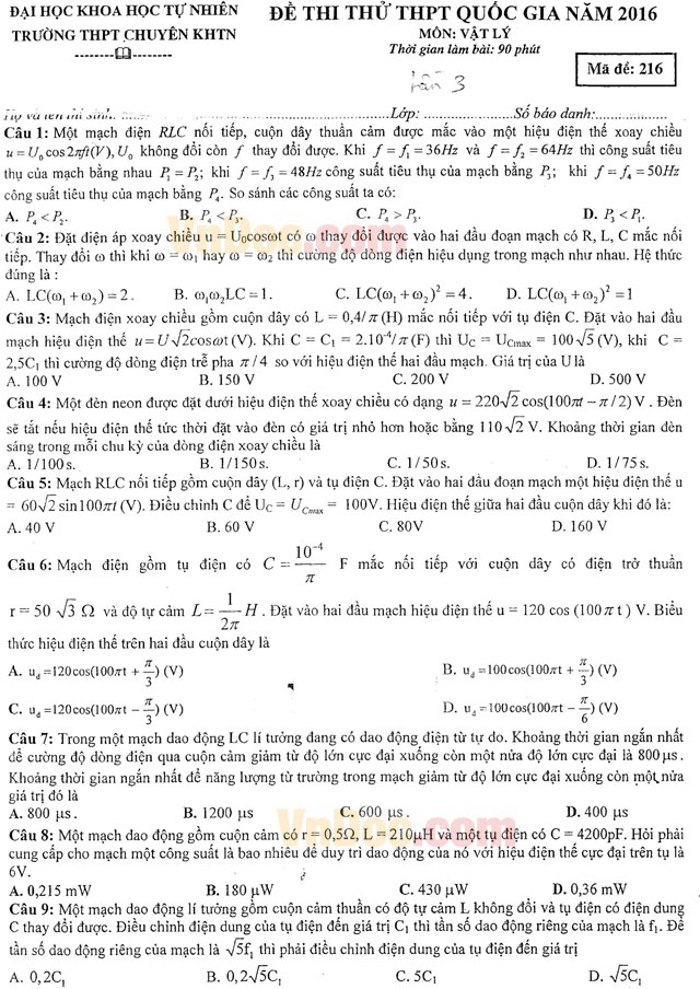
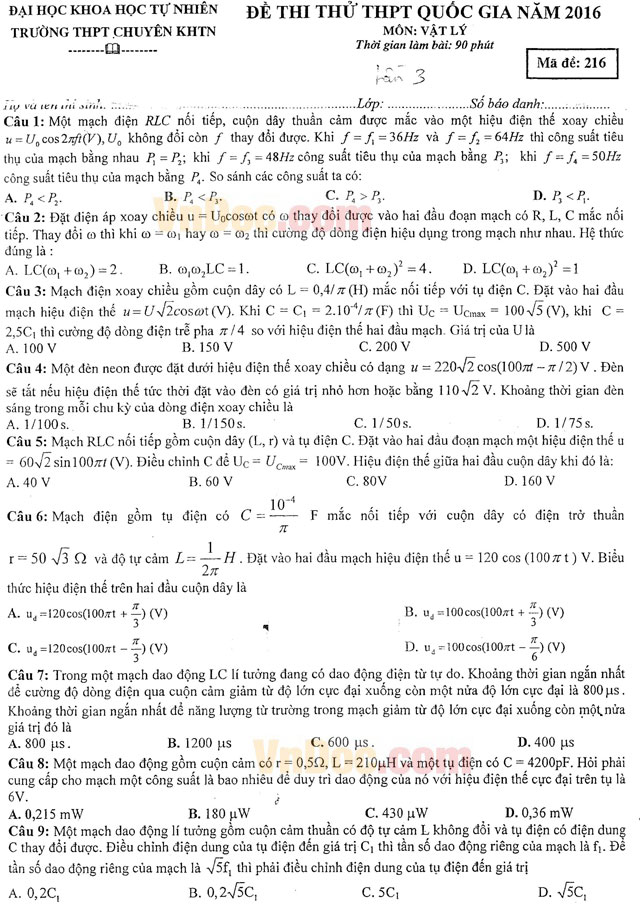
Đề thi thử THPT Quốc gia năm 2016 môn Vật lý trường THPT Chuyên Khoa học Tự nhiên, Hà Nội (Lần 3)
Đề thi thử THPT Quốc gia năm 2016 môn Vật lý
Đề thi thử THPT Quốc gia năm 2016 môn Vật lý trường THPT Chuyên Khoa học Tự nhiên, Hà Nội (Lần 3) đề thi thử đại học có đáp án dành cho các bạn tham khảo, luyện thi đại học môn Vật lý, ôn thi tốt nghiệp THPT, vượt qua kì thi THPT Quốc gia môn Vật lý một cách suôn sẻ. Chúc các bạn đạt kết quả tốt trong các kì thi quan trọng sắp tới.
Đề thi thử THPT Quốc gia năm 2016 môn Vật lý trường THPT Chuyên Khoa học Tự nhiên, Hà Nội (Lần 1)
Đề thi thử THPT Quốc gia năm 2016 môn Vật lý trường THPT Chuyên Khoa học Tự nhiên, Hà Nội (Lần 2)
Đề thi thử THPT Quốc gia năm 2016 môn Vật lý trường THPT Chuyên Khoa học Tự nhiên, Hà Nội (Lần 4)




Đáp án đề thi thử THPT Quốc gia năm 2016 môn Vật lý
