Đề thi thử THPT Quốc gia năm 2016 môn Vật lý trường THPT Chuyên Khoa học Tự nhiên, Hà Nội (Lần 4)
Đề thi thử THPT Quốc gia năm 2016 môn Vật lý
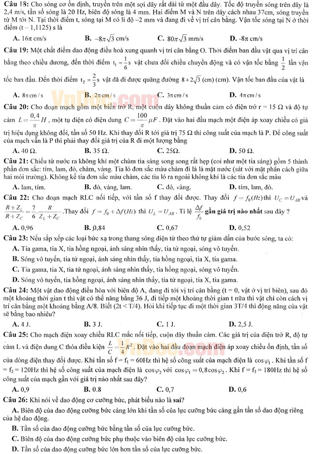
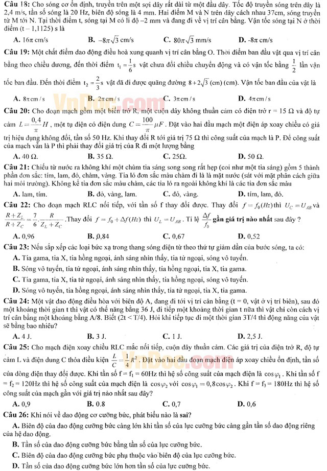
Đề thi thử THPT Quốc gia năm 2016 môn Vật lý trường THPT Chuyên Khoa học Tự nhiên, Hà Nội (Lần 4) được VnDoc.com sưu tầm và đăng tải, gồm 50 câu trắc nghiệm, cùng đáp án đi kèm. Đây là đề luyện thi hữu ích dành cho các bạn học sinh và quý thầy cô giáo, giúp các bạn thí sinh có thể luyện tập và nâng cao kỹ năng làm bài môn Lý. Mời các bạn tham khảo.
Đề thi thử THPT Quốc gia năm 2016 môn Vật lý trường THPT Chuyên Khoa học Tự nhiên, Hà Nội (Lần 1)
Đề thi thử THPT Quốc gia năm 2016 môn Vật lý trường THPT Chuyên Khoa học Tự nhiên, Hà Nội (Lần 2)
Đề thi thử THPT Quốc gia năm 2016 môn Vật lý trường THPT Chuyên Khoa học Tự nhiên, Hà Nội (Lần 3)
Đề thi thử THPT Quốc gia năm 2016 môn Toán trường THPT Chuyên Khoa học Tự nhiên, Hà Nội (Lần 4)






Đáp án đề thi thử THPT Quốc gia năm 2016 môn Vật lý
