Giao diện mới của VnDoc Pro: Dễ sử dụng hơn - chỉ tập trung vào lớp bạn quan tâm. Vui lòng chọn lớp mà bạn quan tâm: Lưu và trải nghiệm
Đóng
Điểm danh hàng ngày
  • Hôm nay +3
  • Ngày 2 +3
  • Ngày 3 +3
  • Ngày 4 +3
  • Ngày 5 +3
  • Ngày 6 +3
  • Ngày 7 +5
Bạn đã điểm danh Hôm nay và nhận 3 điểm!
Nhắn tin Zalo VNDOC để nhận tư vấn mua gói Thành viên hoặc tải tài liệu Hotline hỗ trợ: 0936 120 169

Đề thi thử THPT Quốc gia năm 2016 môn Vật lý trường THPT Lý Tự Trọng, Nam Định (Lần 1)

Loại File: Word + PDF
Phân loại: Tài liệu Tính phí

Đề thi thử THPT Quốc gia năm 2016 môn Vật lý

Nhằm giúp các bạn thi sinh luyện đề THPT Quốc gia môn Lý hiệu quả nhất, VnDoc.com tiếp tục sưu tầm và đăng tải những đề thi chất lượng của các trường THPT Quốc gia trên cả nước để các bạn ôn tập. Mời các bạn tham khảo đề thi thử THPT Quốc gia năm 2016 môn Vật lý trường THPT Lý Tự Trọng, Nam Định (Lần 1) có đáp án đi kèm.

Đề thi thử THPT Quốc gia môn Toán năm 2016 trường THPT Lý Tự Trọng, Nam Định (Lần 1)

Đề thi thử THPT Quốc gia năm 2016 môn Vật lý trường THPT Hàn Thuyên, Bắc Ninh (Lần 2)

SỞ GD&ĐT NAM ĐỊNH

TRƯỜNG THPT LÝ TỰ TRỌNG

MÃ ĐỀ THI 132

ĐỀ THI THỬ THPT QUỐC GIA LẦN I NĂM 2016

MÔN VẬT LÝ

Thời gian làm bài: 90 phút

Đề thi gồm 50 câu trắc nghiệm, ngày thi 03/01/2016

Câu 1: Chuyển động của vật nào sau đây là dao động cơ học?

A. Chuyển động của vệ tinh trên quỹ đạo. B. Chuyển động của quả bóng khi bị đá.

C. Chuyển động của piston động cơ đốt trong. D. Chuyển động của của chiếc lá rơi.

Câu 2: Đặt một điện áp u = U√2cos(100πt) V vào hai đầu mạch gồm có điện trở R = 60Ω, cuộn dây thuần cảm có độ tự cảm L = 2/π (H) và tụ điện có điện dung Đề thi thử THPT Quốc gia năm 2016 môn Vật lý nối tiếp. Dùng Ampe kế xoay chiều có điện trở không đáng kể mắc nối tiếp với mạch thì Ampe kế chỉ 1,5 (A). Điện áp hiệu dụng U bằng

A. 90 V B. 300 V C. 150 V D. 180 V

Câu 3: Một con lắc đơn có chiều ℓ khối lượng m được treo tại nơi có gia tốc trọng trường g. Kích thích con lắc dao động với biên độ góc αo, li độ góc α. Bỏ qua ma sát, có thể tính tính động năng cực đại của vật nặng bằng biểu thức

A. mgℓ( cosα- cos αo) B. mgℓ( 1- cos αo) C. mg(3cosα -2cos αo) D. 2gℓ( 1- cos αo)

Câu 4: Có thể tạo ra một dòng điện xoay chiều trên một khung dây dẫn kín bằng cách cho khung dây

A. chuyển động tịnh tiến dọc theo phương của đường sức từ trong từ trường đều.

B. quay đều xung quanh một trục quay thuộc mặt phẳng khung trong từ trường đều.

C. chuyển động tịnh tiến theo phương vuông góc với đường sức từ trong từ trường đều.

D. dao động điều hòa trong từ trường đều dọc theo đường sức của từ trường đều.

Câu 5: Một con lắc đơn có chiều ℓ khối lượng m được treo tại nơi có gia tốc trọng trường g. Chu kì dao động điều hòa của con lắc đơn là

Đề thi thử THPT Quốc gia năm 2016 môn Vật lý

Câu 6: Mạch xoay chiều gồm điện trở thuần R, cuộn dây thuần cảm có độ tự cảm L, tụ điện có điện dung C mắc nối tiếp. Trong đó R, C không đổi, L thay đổi được. Đặt vào hai đầu mạch điện áp xoay chiều u = U√2cos(ωt). Cho L thay đổi, khi L lần lượt bằng L1; L2 thì cường độ dòng điện trong mạch có cùng giá trị hiệu dụng và pha ban đầu tương ứng là –π/3 và π/6. Hệ số công suất của mạch khi L = L1 bằng

A. 0,71 B. 0,50 C. 0,87 D. 0

Câu 7: Một con lắc lò xo treo thẳng đứng. Từ vị trí cân bằng kéo vật nặng thẳng xuống 4cm rồi thả nhẹ thì vật lên đến vị trí cao nhất sau 0,5s. Nếu ban đầu kéo vật thẳng xuống 8cm rồi thả nhẹ thì vật lên đến vị trí cao nhất sau

A. 1,0s B. 0,5s C. 2,0s D. 4,0s

Câu 8: Một chất điểm dao động điều hòa với phương trình x = 6cos(t + π/4) (x đo bằng cm, t đo bằng s). Tần số góc của dao động dao động của chất điểm là

A. 6π rad/s B. 2π rad/s C. 8π rad/s D. 4π rad/s

Câu 9: Cho hai chất điểm dao động điều hòa trên trục Ox có phương trình lần lượt x1= 5√3cos(4πt + π/3) cm và x2 = 5cos(4πt - π/6) cm. Không kể thời điểm t = 0, hai chất điểm gặp nhau lần thứ hai tại thời điểm

A. 0,25 s B. 0,50 s C. 0,75 s D. 1,00 s

Câu 10: Trên bề mặt chất lỏng phẳng, yên lặng tại hai vị trí A, B cách nhau 16 cm đặt hai mũi nhọn vừa đủ chạm vào mặt chất lỏng. Tại thời điểm t = 0 hai mũi nhọn bắt đầu đi xuống dao động điều hòa giống hệt nhau với chu kì T = 0,4s. Trên bề mặt chất lỏng xuất hiện hai hệ sóng tròn đồng tâm lan tỏa từ hai mũi nhọn, cho tốc độ tryền sóng trên bề mặt chất lỏng là 10cm/s. Tại thời điểm t = 1,2s, có một số điểm trên bề mặt chất lỏng ở cùng độ cao và cao nhất so với tất cả các điểm còn lại, số điểm này bằng

A. 4 B. 2 C. 8 D. 6

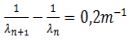
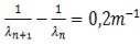
Câu 11: Cho sợi dây AB hai đầu cố định có chiều dài ℓ. Kích thích dây dao động với tần số fn thì trên dây hình thành sóng dừng với bước sóng λn (n thuộc số tự nhiên khác không). Biết fn+1- fn=8 Hz và Đề thi thử THPT Quốc gia năm 2016 môn Vật lý. Tốc độ truyền sóng trên dây và chiều dài ℓ lần lượt bằng

A. 20m/s; 5,0m B. 40m/s; 5,0m C. 20m/s; 2,5m D. 40m/s; 2,5m

Câu 12: Sóng truyền trên bề mặt chất lỏng thành những đường tròn đồng tâm ngày càng mở rộng với bước sóng λ. Hiệu bán kính hai gợn sóng tròn lồi liên tiếp bằng

A. 2 λ B. λ/2 C. λ/4 D. λ

Câu 13: Một mạch xoay chiều AB gồm AM nối tiếp MB. Cho AM gồm điện trở thuần R nối tiếp cuộn cảm thuần L; MB chỉ có tụ điện với điện dung C thay đổi được. Đặt vào hai đầu mạch AB một điện áp xoay chiều có tần số góc 100π rad/s và giá trị hiệu dụng không đổi. Mắc vào 2 điểm A,M vôn kế V1; mắc vào 2 điểm M,B vôn kế V2; các vôn kế xoay chiều có điện trở vô cùng lớn. Điều chỉnh C = C1 = 31,8µF thì số chỉ V1 là lớn nhất bằng (x), khi C = C2 =15,9µF thì số chỉ V2 cũng bằng (x). Điện trở R gần giá trị nào nhất sau đây?

A. 105 Ω B. 68 Ω C. 189 Ω D. 145 Ω

Câu 14: Cho một máy biến áp lí tưởng có số vòng dây dẫn cuộn thứ nhất là N1, số vòng dây dẫn cuộn thứ hai là N2. Nếu đặt vào hai đầu cuộn thứ nhất điện áp xoay chiều có giá trị hiệu dụng 120V thì ở hai đầu cuộn thứ hai để hở điện áp hiệu dụng là 240 V. Sau đó cho cuộn dây thứ nhất tăng thêm n vòng dây, cuộn dây thứ hai tăng thêm 2n vòng dây. Nếu lúc này đặt vào hai đầu cuộn dây thứ hai điện áp xoay chiều có giá trị hiệu dụng 120 V thì ở hai đầu cuộn thứ nhất để hở điện áp hiệu dụng bằng

A. 60 V B. 240 V C. 360 V D. 30 V

Câu 15: Một chất điểm dao động điều hòa trên trục Ox có phương trình dao động Đề thi thử THPT Quốc gia năm 2016 môn Vật lý (x đo bằng cm, t đo bằng s). Quãng đường vật đi được trong giây thứ tư kể từ thời điểm ban đầu là

A. 15cm B. 30cm C. 10 cm D. 60 cm

Câu 16: Một con lắc đơn có chiều ℓ = 1m khối lượng m = 50g được treo giữa hai bản kim loại phẳng song song giống hệt nhau đặt thẳng đứng đối diện nhau. Biết hai bản kim loại cách nhau 12cm được nối với nguồn một chiều có hiệu điện thế U (V) qua một công tắc K, công tắc K ban đầu mở. Lấy gia tốc trọng trường g= 10m/s2. Tích điện cho vật nặng điện tích q = 5µC. Khi vật đang đứng yên thì đóng nhanh công tắc K, vật dao động điều hòa với biên độ góc 0,05 rad. Hiệu điện thế U bằng

A. 300 V B. 120 V C. 720 V D. 600 V

Câu 17: Một vật tham gia đồng thời hai dao động điều hòa cùng phương, có cùng tần số góc ω, đồng pha nhau và biên độ mỗi dao động lần lượt là A1 và A2 . Vận tốc cực đại của vật là

A. ωA1 B. ω(A1 - A2) C. ω(A1 + A2) D. ω A2

Câu 18: Một con lắc đơn có chiều ℓ = 49cm khối lượng m = 100g được treo tại nơi có gia tốc trọng trường g = 9,8m/s2. Kích thích cho vật nặng dao động điều hòa trên cung tròn có độ dài 2√5 cm. Tốc độ cực đại của vật nặng trong quá trình dao động là

A. 30 cm/s B. 10 cm/s C. 20 cm/s D. 5 cm/s

(Còn tiếp)

Đáp án đề thi thử THPT Quốc gia năm 2016 môn Vật lý

1

C

11

D

21

D

31

D

41

A

2

C

12

D

22

C

32

C

42

D

3

B

13

A

23

C

33

B

43

D

4

B

14

A

24

C

34

B

44

C

5

A

15

B

25

C

35

D

45

A

6

A

16

D

26

A

36

D

46

B

7

B

17

C

27

C

37

C

47

A

8

C

18

B

28

A

38

A

48

A

9

B

19

A

29

B

39

D

49

B

10

B

20

D

30

D

40

A

50

A

Chọn file muốn tải về:
Đóng Chỉ thành viên VnDoc PRO/PROPLUS tải được nội dung này!
Đóng
79.000 / tháng
Đặc quyền các gói Thành viên
PRO
Phổ biến nhất
PRO+
Tải tài liệu Cao cấp 1 Lớp
30 lượt tải tài liệu
Xem nội dung bài viết
Trải nghiệm Không quảng cáo
Làm bài trắc nghiệm không giới hạn
Mua cả năm Tiết kiệm tới 48%
Xác thực tài khoản!

Theo Nghị định 147/2024/ND-CP, bạn cần xác thực tài khoản trước khi sử dụng tính năng này. Chúng tôi sẽ gửi mã xác thực qua SMS hoặc Zalo tới số điện thoại mà bạn nhập dưới đây:

Số điện thoại chưa đúng định dạng!
Số điện thoại này đã được xác thực!
Bạn có thể dùng Sđt này đăng nhập tại đây!
Lỗi gửi SMS, liên hệ Admin
Sắp xếp theo
🖼️

Thi THPT Quốc gia môn Vật Lý

Xem thêm
🖼️

Gợi ý cho bạn

Xem thêm