Đề thi thử THPT Quốc gia môn Toán năm 2016 trường THPT Lý Tự Trọng, Nam Định (Lần 1)
Đề thi thử THPT Quốc gia năm 2016 môn Toán
Đề thi thử THPT Quốc gia môn Toán năm 2016 trường THPT Lý Tự Trọng, Nam Định (Lần 1) được VnDoc.com sưu tầm và đăng tải là tài liệu ôn thi đại học môn Toán, luyện thi THPT Quốc gia 2016 hữu ích dành cho các bạn thí sinh, giúp các bạn chuẩn bị tốt trước kì thi tuyển sinh đại học sắp tới.
Đề thi thử THPT Quốc gia môn Toán năm 2016 trường THPT Thuận Thành 1, Bắc Ninh (Lần 1)
Đề thi thử THPT Quốc gia môn Toán lần 1 năm 2016 trường THPT Chuyên Vĩnh Phúc
| SỞ GIÁO DỤC VÀ ĐÀO TẠO NAM ĐỊNH TRƯỜNG THPT LÝ TỰ TRỌNG |
ĐỀ THI THỬ THPT QUỐC GIA LẦN 1 NĂM 2015 – 2016 Môn thi: TOÁN (Thời gian làm bài: 180 phút, không kể thời gian giao đề) |
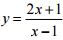
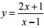
Câu 1 (2,0 điểm). Cho hàm số
(1).
- Khảo sát sự biến thiên và vẽ đồ thị (C) của hàm số (1).
- Tìm điểm M thuộc đồ thi (C) sao cho khoảng cách từ M đến đến trục Oy bằng 2 lần khoảng cách từ M đến đường tiệm cận ngang của đồ thị hàm số (1).
Câu 2 (1,0 điểm). Giải phương trình: 2cosx.cos2x = 2 - 2sin2x + cos3x.
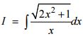
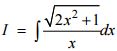
Câu 3 (1,0 điểm). Tính nguyên hàm: 
Câu 4 (1,0 điểm).
- Giải phương trình: log1/4(2x2 - 3x + 1) + 1/2log2(x - 1)2 = 1/2.
- Tìm giá trị lớn nhất và nhỏ nhất của hàm số y = 8lnx - x2 trên đoạn [1;e].
Câu 5 (1.0 điểm). Một hộp chứa 4 quả cầu màu đỏ, 5 quả cầu màu xanh và 7 quả cầu màu vàng. Lấy ngẫu nhiên cùng lúc ra 4 quả cầu từ hộp đó. Tính xác suất sao cho 4 quả cầu được lấy ra có đủ 3 màu, có đúng một quả cầu màu đỏ và có không quá hai quả cầu màu vàng.
Câu 6 (1,0 điểm). Cho hình chóp S.ABCD có đáy ABCD là hình chữ nhật, biết AB = a, AD = 2a, tam giác SAB là tam giác đều nằm trong mặt phẳng vuông góc với đáy. Gọi I là trung điểm của SD. Tính thể tích khối chóp S.ACD và khoảng cách giữa hai đường thẳng AI và SC.
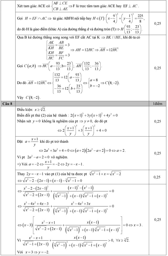
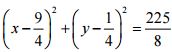
Câu 7 (1,0 điểm). Trong mặt phẳng tọa độ Oxy, cho hình chữ nhật ABCD biết AB = 3/2AD. Gọi F là điểm thuộc đoạn thẳng BC sao cho BF = 3/4BC. Đường tròn (T) ngoại tiếp tam giác ABF có phương trình
. Đường thẳng d đi qua hai điểm A, C có phương trình 3x + 11y - 2 = 0. Tìm tọa độ đỉnh C biết điểm A có hoành độ âm.
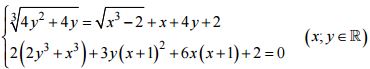
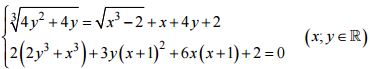
Câu 8 (1.0 điểm). Giải hệ phương trình: 
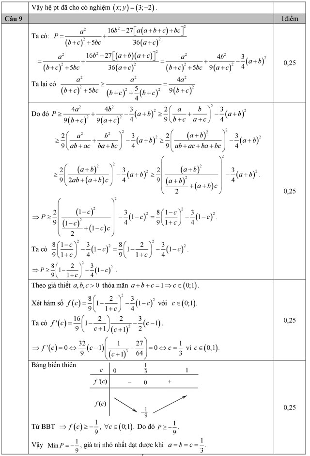
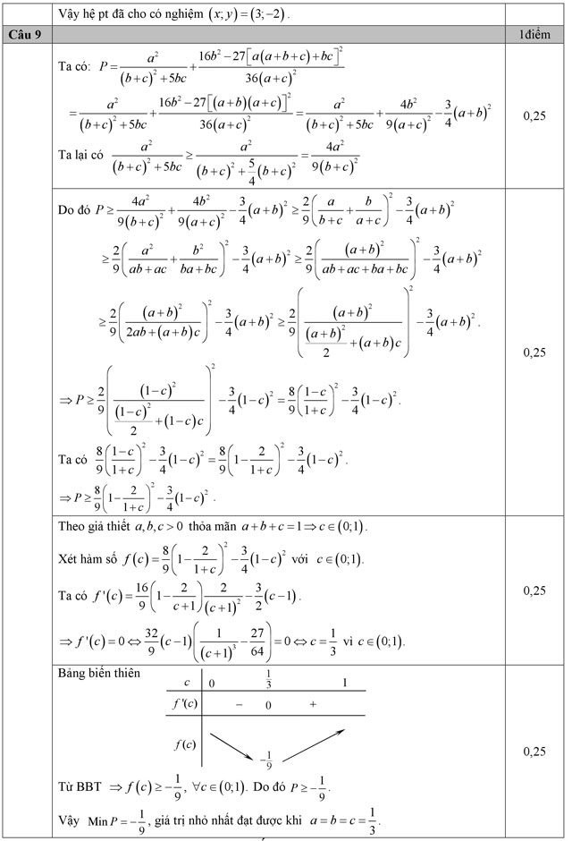
Câu 9 (1.0 điểm). Cho a, b, c là ba số thực dương thỏa mãn a + b + c = 1. Tìm giá trị nhỏ nhất của biểu thức:

Đáp án đề thi thử THPT Quốc gia năm 2016 môn Toán





