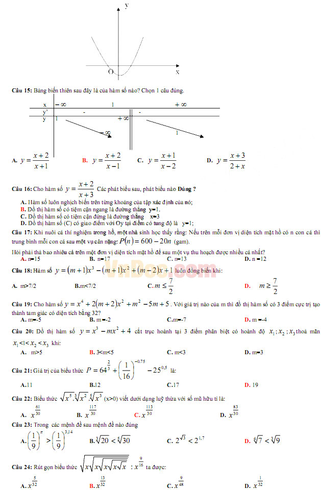
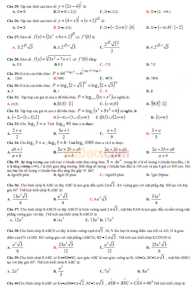
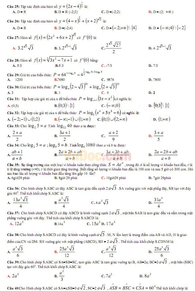
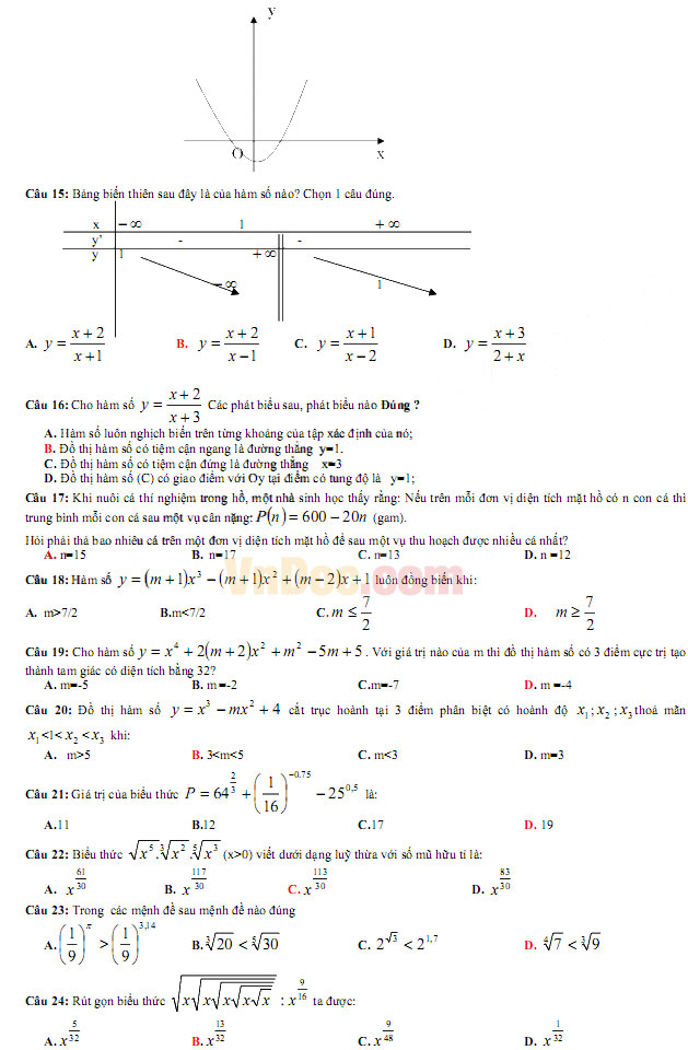
Đề thi thử THPT Quốc gia năm 2017 môn Toán trắc nghiệm trường THPT Lục Ngạn số 1, Bắc Giang (Lần 1)
Đề thi thử THPT Quốc gia năm 2017 môn Toán trắc nghiệm
Đề thi thử THPT Quốc gia năm 2017 môn Toán trắc nghiệm trường THPT Lục Ngạn số 1, Bắc Giang (Lần 1) là đề thi thử đại học môn Toán được thi theo hình thức trắc nghiệm với 50 câu trong thời gian làm bài là 90 phút, có đáp án đi kèm. Đây là tài liệu luyện thi môn Toán hay được VnDoc.com sưu tầm và đăng tải, nhằm giúp thí sinh thử sức để chuẩn bị sẵn sàng cho kỳ thi THPT Quốc gia 2017 sắp tới.
Đề thi thử THPT Quốc gia năm 2017 môn Toán trắc nghiệm trường THPT Nhã Nam, Bắc Giang (Lần 1)
Đề thi thử THPT Quốc gia năm 2017 môn Toán trắc nghiệm trường THPT Lục Ngạn số 3, Bắc Giang (Lần 1)



