Đề thi thử THPT Quốc gia năm 2017 môn Toán trắc nghiệm trường THPT Phạm Văn Đồng, Phú Yên
Đề thi thử THPT Quốc gia năm 2017 môn Toán trắc nghiệm
Đề thi thử THPT Quốc gia năm 2017 môn Toán trắc nghiệm trường THPT Phạm Văn Đồng, Phú Yên có đáp án đi kèm, giúp các em nắm dạng bài phổ biến trong đề thi để có kế hoạch ôn tập được tốt nhất. Mời các em cùng tham khảo.
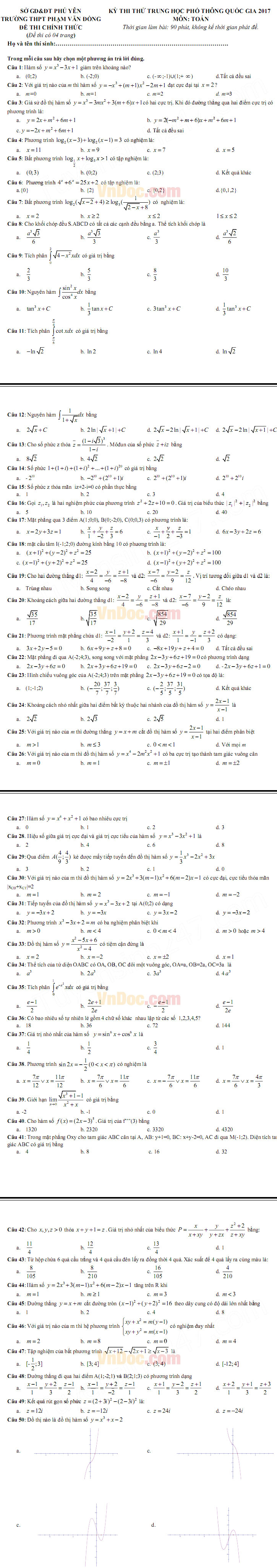
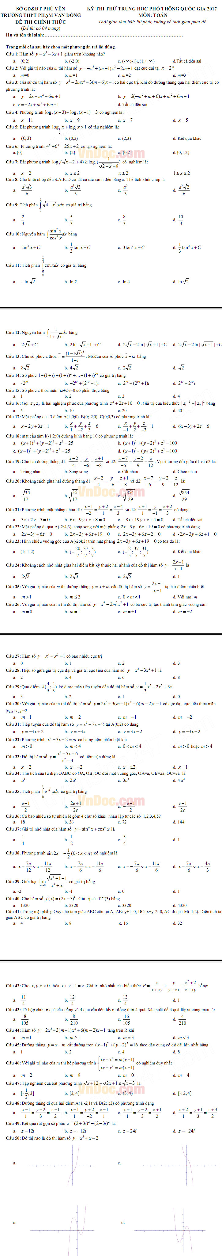
Đề thi thử THPT Quốc gia năm 2017 môn Toán trắc nghiệm - Đề số 1
Đề thi thử THPT Quốc gia năm 2017 môn Toán trắc nghiệm - Đề số 2
Đề thi thử THPT Quốc gia năm 2017 bài thi Khoa học tự nhiên - Đề số 1

Đáp án đề thi thử THPT Quốc gia năm 2017 môn Toán trắc nghiệm
1a, 2c, 3b, 4d, 5d, 6c, 7a, 8d, 9c, 10d, 11d, 12c, 13a, 14b, 15a, 16c, 17d, 18a, 19b, 20c, 21b, 22c, 23b, 24a, 25d, 26c, 27b, 28b, 29a, 30c, 31a, 32c, 33b, 34a, 35d, 36c, 37a, 38a, 39c, 40d, 41b, 42c, 43a, 44c, 45d, 46b, 47b, 48a, 49c, 50a.