Đề thi thử THPT Quốc gia năm 2017 môn Toán trắc nghiệm trường THPT Vĩnh Chân, Phú Thọ
Đề thi thử THPT Quốc gia năm 2017 môn Toán trắc nghiệm
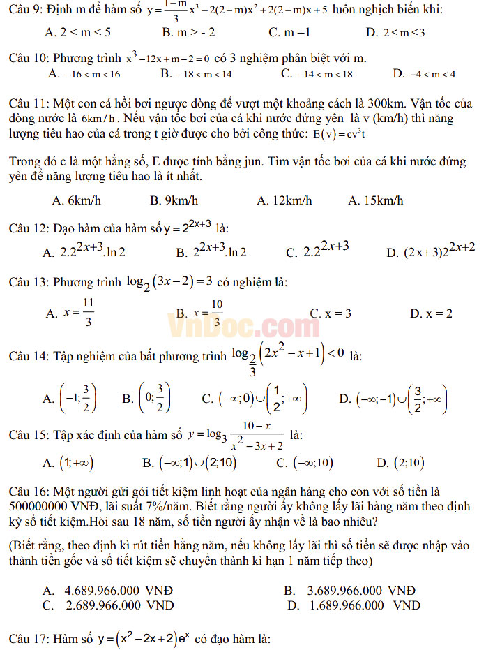
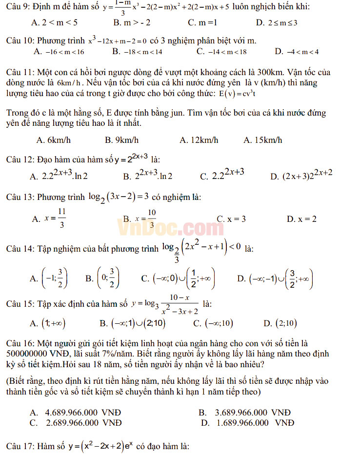
Năm này là năm đầu tiên tổ chức thi THPT Quốc gia môn Toán theo hình thức trắc nghiệm nên thầy và trò sẽ gặp nhiều khó khăn trong quá trình ôn luyện. VnDoc.com xin gửi tới các bạn Đề thi thử THPT Quốc gia năm 2017 môn Toán trắc nghiệm trường THPT Vĩnh Chân, Phú Thọ gồm 50 câu hỏi trắc nghiệm khách quan, nội dung kiến thức nằm toàn bộ trong chương trình lớp 12, có đáp án đi kèm. Hi vọng tài liệu này sẽ giúp các bạn ôn thi đại học môn Toán, luyện thi THPT Quốc gia môn Toán theo cấu trúc mới hiệu quả.
Đề thi thử THPT Quốc gia năm 2017 môn Toán trắc nghiệm trường THPT Nhã Nam, Bắc Giang (Lần 1)
Đề thi thử THPT Quốc gia năm 2017 môn Toán trắc nghiệm trường THPT Hàm Rồng







Đáp án đề thi thử THPT Quốc gia năm 2017 môn Toán trắc nghiệm
