Đề thi thử THPT Quốc gia năm 2017 môn Toán trường THPT chuyên Võ Nguyên Giáp, Quảng Bình (Lần 1)
Đề thi thử THPT Quốc gia năm 2017 môn Toán
Loại File:
PDF
Phân loại:
Tài liệu Tính phí
Đề thi thử THPT Quốc gia năm 2017 môn Toán
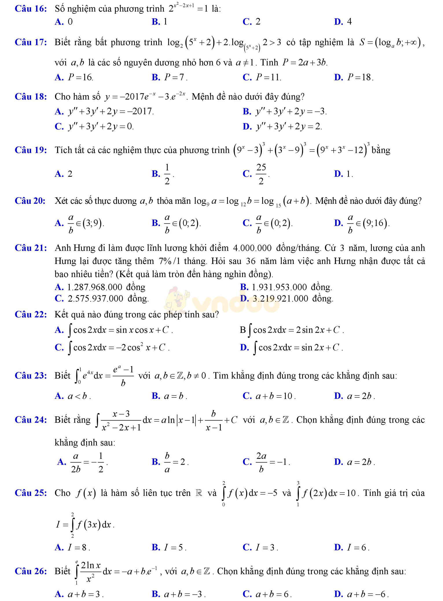
Đề thi thử THPT Quốc gia năm 2017 môn Toán trường THPT chuyên Võ Nguyên Giáp, Quảng Bình (Lần 1). Đề thi gồm có 50 câu hỏi trắc nghiệm với thời gian làm bài thi là 90 phút. Việc tham khảo đề thi sẽ giúp cho các bạn học sinh nâng cao kỹ năng giải đề, biết cách sắp xếp và phân bổ thời gian làm bài cho hợp lý.
Đề thi thử THPT Quốc gia năm 2017 môn Toán Sở GD&ĐT Quảng Nam
Đề thi thử THPT Quốc gia năm 2017 môn Toán trường THPT chuyên Lê Quý Đôn, Đà Nẵng (Lần 2)
Đề thi thử THPT Quốc gia năm 2017 môn Toán trường THPT chuyên Lê Quý Đôn, Quảng Trị (Lần 1)




