Đề thi thử THPT Quốc gia năm 2017 môn Toán trường THPT Lý Tự Trọng, Nam Định (Lần 1)
Đề thi thử THPT Quốc gia năm 2017 môn Toán
Trực tiếp ôn tập trên từng đề thi cụ thể, là phương pháp mà khá nhiều lớp học sinh vẫn dùng để ôn tập ở các mùa thi. Hiểu được điều đó, thư viện đề thi VnDoc xin chia sẻ: Đề thi thử THPT Quốc gia năm 2017 môn Toán trường THPT Lý Tự Trọng, Nam Định (Lần 1) nhằm giúp được các bạn học sinh quen dần với cấu trúc của đề thi, nâng cao kĩ năng giải đề.
Đề thi thử THPT Quốc gia năm 2017 môn Toán trường THPT Lạc Hồng, TP HCM
Đề thi thử THPT Quốc gia năm 2017 môn Toán trường THPT chuyên Bến Tre
Đề thi thử THPT Quốc gia năm 2017 môn Toán trường THPT Lý Chính Thắng, Hà Tĩnh
|
SỞ GD&ĐT NAM ĐỊNH TRƯỜNG THPT LÝ TỰ TRỌNG |
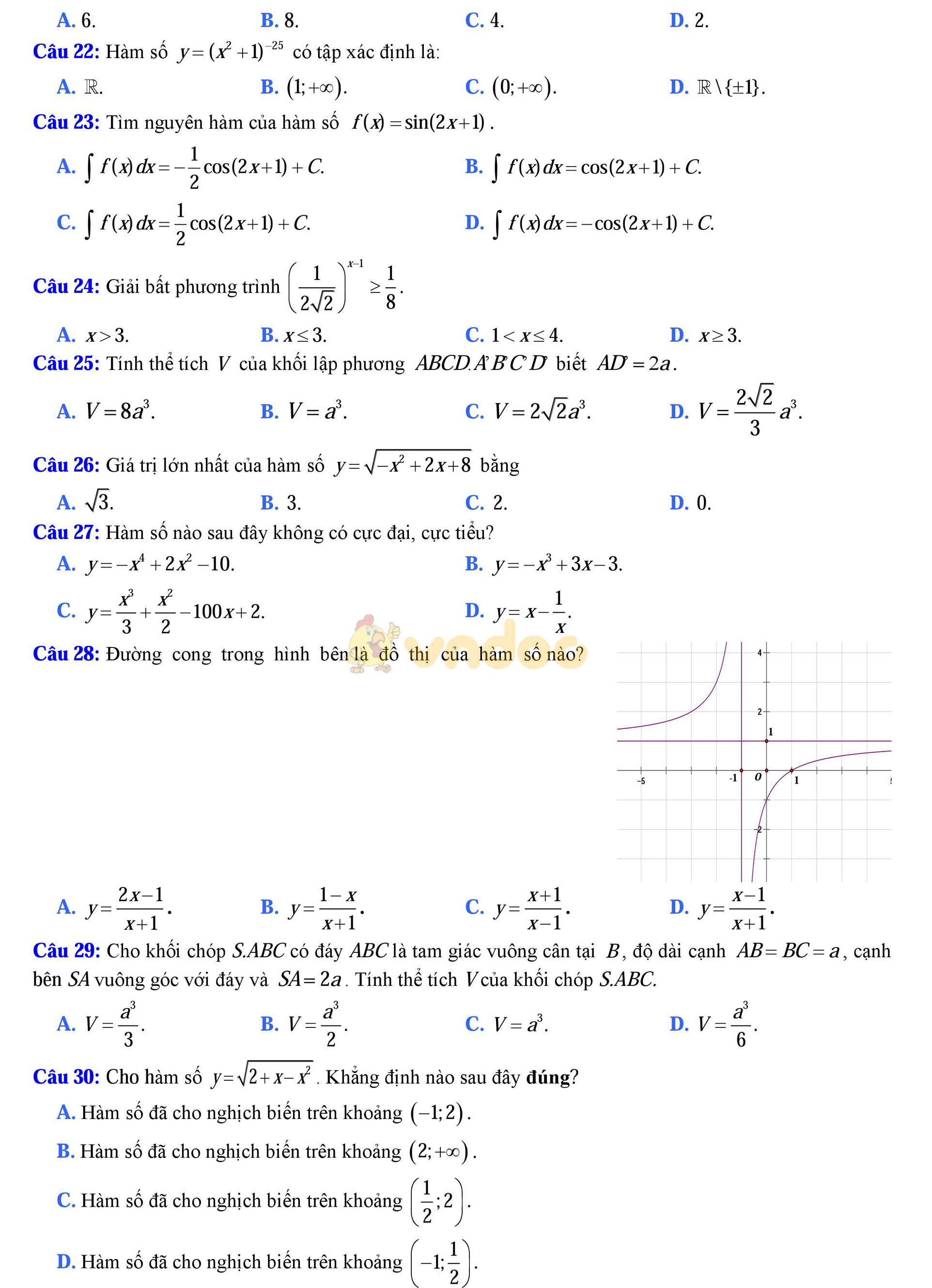
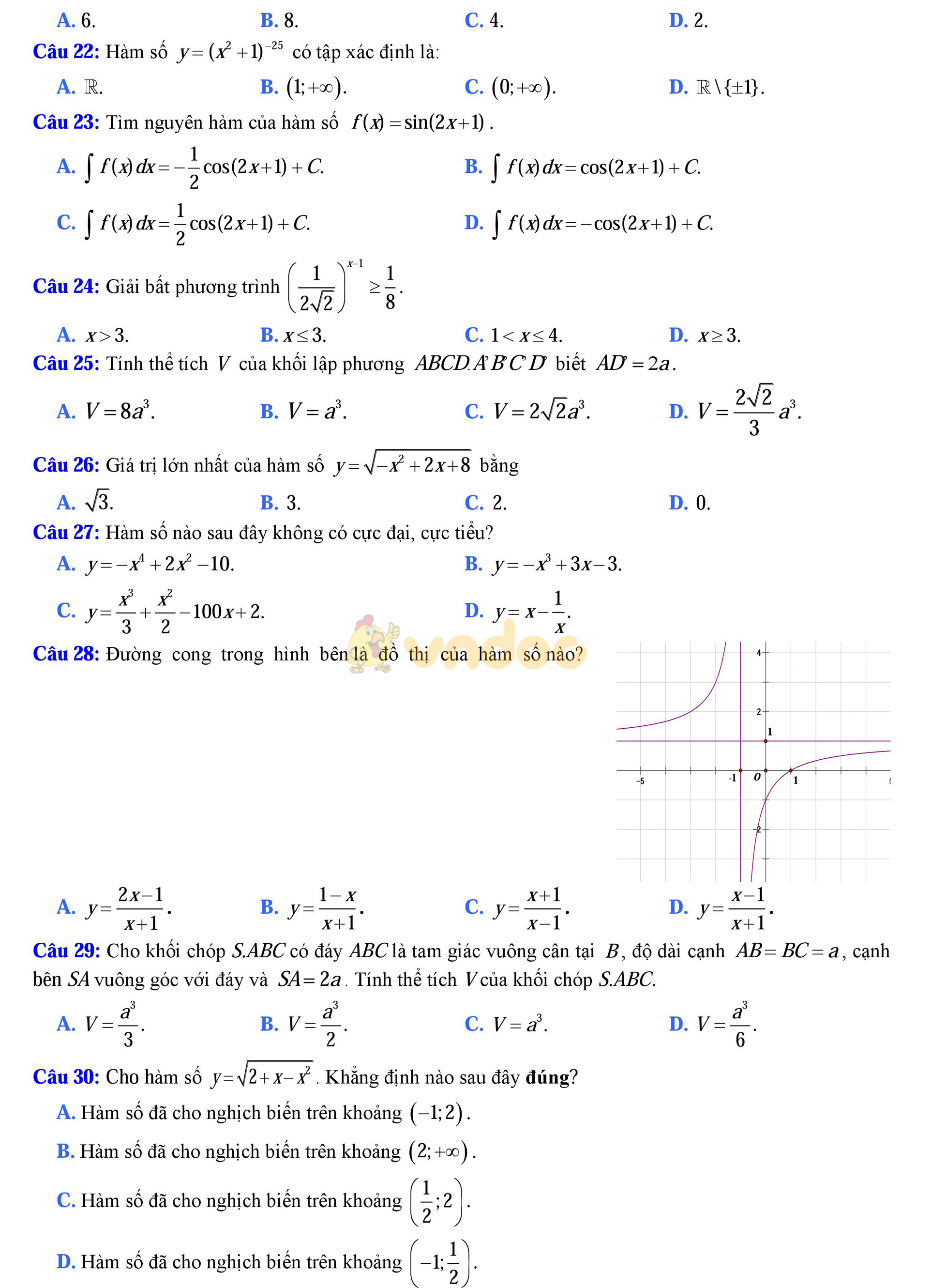
ĐỀ THI THỬ THPT QUỐC GIA NĂM 2017 - LẦN 1 MÔN: TOÁN Thời gian làm bài: 90 phút Đề thi gồm có 50 câu hỏi trắc nghiệm |





