Đề thi thử vào lớp 10 lần 2 môn Toán trường THCS Hương Sơn, Hà Tĩnh năm 2015 - 2016
Đề thi thử vào lớp 10 lầm 2 môn Toán
Đề thi thử vào lớp 10 lầm 2 môn Toán trường THCS Hương Sơn, Hà Tĩnh năm 2015 - 2016 được VnDoc.com sưu tầm và giới thiệu tới các bạn học sinh nhằm giúp các em học sinh có thêm nhiều tài liệu ôn thi vào lớp 10 môn Toán hiệu quả. Mời các em cùng tham khảo.
Đề thi thử vào lớp 10 môn Ngữ văn phòng GD&ĐT Xuân Trường, Nam Định năm 2014 - 2015
Đề thi thử vào lớp 10 môn Toán trường THCS Văn Khuê năm 2014 - 2015
| Trường THCS HƯƠNG SƠN | ĐỀ THI THỬ TUYỂN SINH VÀO LỚP 10 THPT NĂM HỌC 2015-2016 – lÇn 2 Môn thi: TOÁN Thời gian: 90 phút (không kể thời gian phát đề) |
Đề số 1:
Bài 1: (2,0 điểm)
1/ Cho biết và A = 5 + √5 và B = 5 - √5. Hãy so sánh: A + B và A.B
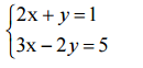
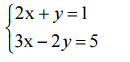
2/ Giải hệ phương trình: 
Bài 2. (2,0 điểm)
a) Tìm m để hàm số y = (1 + m)x - 5 nghịch biến trên tập xác định
b) Xác định hệ số góc và tung độ góc của đường thẳng y = ax + b biết rằng đường thẳng đó song song với đường thẳng y = 2x - 1 và cắt trục tung tại điểm có tung độ bằng 3
Bài 3: (2,0 điểm)
Một xe máy và một xe đạp xuất phát cùng một lúc từ hai địa điểm A và B cách nhau 88km, đi ngược chiều nhau, chúng gặp nhau sau 2 giờ. Tính vận tốc của mỗi xe. Biết vận tốc của xe máy lớn hơn vận tốc xe đạp 16 km/h.
Bài 4: (3,5 điểm) Qua điểm P ở ngoài đường tròn (O) vẽ tiếp tuyến PA, PB và cát tuyến PCD
a) Chứng minh PA2 = PC.PD
b) Chứng minh P, A, O, B cùng thuộc một đường tròn.
c) Tìm vị trí của cát tuyến PCD để PC + PD đạt giá trị nhỏ nhất.
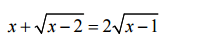
Bài 5: (0,5 điểm) Giải phương trình sau: ![]()
Đáp án đề thi thử vào lớp 10 lầm 2 môn Toán


