Đề thi thử vào lớp 10 môn Toán trường THCS Văn Khuê năm 2014 - 2015
Đề thi thử vào lớp 10 môn Toán
Đề thi thử vào lớp 10 môn Toán trường THCS Văn Khuê năm 2014 - 2015 được VnDoc.com sưu tầm và giới thiệu tới các bạn học sinh nhằm giúp các em học sinh có thêm nhiều tài liệu ôn thi vào lớp 10 môn Toán hiệu quả. Mời các em cùng tham khảo.
Đề thi thử vào lớp 10 môn Toán trường THCS Nguyễn Văn Trỗi năm 2014 - 2015
Đề thi thử vào lớp 10 môn Ngữ văn trường THCS Tam Hưng, Hà Nội năm 2014 - 2015
TRƯỜNG THCS VĂN KHÊ
ĐỀ THI THỬ VÀO LỚP 10 THPT
Năm học 2014 -2015
Môn thi: Toán 9
Thời gian 120 phút (không kể thời gian giao đề)
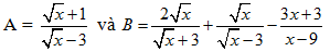
Bài 1 (2 điểm): Với x ≥ 0, x ≠ 9 cho hai biểu thức
![]()
1, Tính giá trị của biểu thức A khi x = 25/16
2, Rút gọn biểu thức B
3, Tìm các giá trị của x để B/A < -1/3
Bài 2 (2 điểm). Giải bài toán bằng cách lập phương trình hoặc hệ phương trình
Theo kế họach, một tổ công nhân phải sản xuất 360 sản phẩm. Trong khi làm việc, do phải điều 3 công nhân đi làm việc khác¸ cho nên mỗi công nhân còn lại phải làm nhiều hơn dự định 4 sản phẩm. Hỏi lúc đầu tổ có bao nhiêu công nhân. Biết rằng năng suất lao động của công nhân là như nhau.
Bài 3. ( 2.0 điểm)
1, Giải hệ phương trình

2, Cho Parabol (P): y = x2 và đường thẳng (d): y= mx – m +1 (m ≠ 0)
a, Tìm tọa độ giao điểm của P và d khi m = 4
b. Gọi x1 và x2 là hoành độ giao điểm của (P) và (d). Tìm m sao cho x1=9x2
Bài 4. (3,5 điểm) Cho nửa đường tròn (O; R) đường kính AB = 2R, C là trung điểm của AO, đường thẳng Cx vuông góc với AB cắt nửa đường tròn tại I. Trên CI lấy K ( K ≠ I, K ≠ C). Tia AK cắt nửa đường tròn tại M, tia BM cắt Cx tại D.
1, Chứng minh bốn điểm A, C, M, D thuộc một đường tròn
2, Chứng minh rằng KC. CD = AC. CB
3, Khi K là trung điểm của CI
a, Tính độ dài CI theo R
b, Tính diện tích tam giác ABD theo R
4, Chứng minh rằng khi K di chuyển trên CI thì tâm đường tròn ngoại tiếp tam giác AKD thuộc một đường thẳng cố định
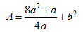
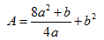
Bài 5 (0,5 điểm). Cho a và b là các số thực dương thoả mãn a + b ≥ 1.
Tìm giá trị nhỏ nhất của biểu thức: ![]()
Đáp án đề thi thử vào lớp 10 môn Toán
