Đề thi thử vào lớp 10 môn Toán trường THCS Nguyễn Văn Trỗi năm 2014 - 2015
Đề thi thử vào lớp 10 môn Toán
Đề thi thử vào lớp 10 môn Toán trường THCS Nguyễn Văn Trỗi năm 2014 - 2015 được VnDoc.com sưu tầm và giới thiệu tới các bạn học sinh nhằm giúp các em học sinh có thêm nhiều tài liệu ôn thi vào lớp 10 môn Toán hiệu quả. Mời các em cùng tham khảo.
Đề thi thử vào lớp 10 môn Toán lần 1 trường THCS Long Hưng năm 2015 - 2016
Đề thi thử vào lớp 10 môn Ngữ văn trường THCS Việt Hưng, Hải Dương năm 2014 - 2015
| TRƯỜNG THCS NGUYỄN VĂN TRỖI ĐỀ THI THỬ |
KỲ THI TUYỂN SINH LỚP 10 NĂM HỌC 2014 - 2015 MÔN THI: TOÁN (Đề thi gồm có: 01 trang) |
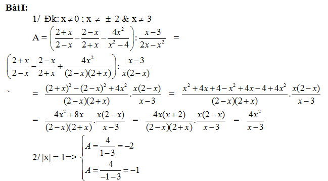
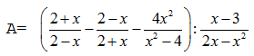
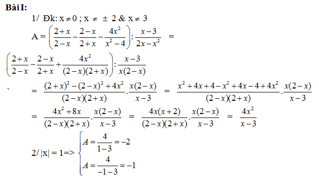
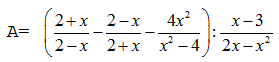
Bài I: Cho
![]()
a/ Rút gọn A.
b/ Tính giá trị của A khi |x | = 1
Bài II: Một chiếc xe tải đi từ tỉnh A đến B với vận tốc 40km/h. Sau đó 1giờ 30 phút, một chiếc xe con cũng khởi hành từ tỉnh A để đi đến tỉnh B với vận tốc 60km/h. Hai xe gặp nhau khi chúng đã đi được một nửa quãng đường AB. Tính quãng đường AB.
Bài III: Cho tứ giác ABCD nội tiếp trong một đường tròn và P là trung điểm của cung AB không chứa C và D. Hai dây PC và PD lần lượt cắt AB tại E và F. Các dây AD và PC kéo dài cắt nhau tại I: các dây BC và PD kéo dài cắt nhau tại K. Chứng minh rằng:
a/ Góc CID bằng góc CKD.
b/ Tứ giác CDFE nội tiếp được.
c/ IK // AB.
d/ Đường tròn ngoại tiếp tam giác AFD tiếp xúc với PA tại A.
Bài IV: Tìm giá trị của x để biểu thức:
M = (2x - 1)2 – 3 |2x-1| + 2
Đạt giá trị nhỏ nhất và tìm GTNN đó.
Đáp án đề thi thử vào lớp 10 môn Toán

