Đề thi thử vào lớp 10 môn Toán lần 1 trường THCS Long Hưng năm 2015 - 2016
Đề thi thử vào lớp 10 môn Toán
Đề thi thử vào lớp 10 môn Toán trường THCS Long Hưng năm 2015 - 2016 được VnDoc.com sưu tầm và giới thiệu tới các bạn học sinh nhằm giúp các em học sinh có thêm nhiều tài liệu ôn thi vào lớp 10 môn Toán hiệu quả. Mời các em cùng tham khảo.
Đề thi thử vào lớp 10 môn Toán trường THCS Đông Hoàng năm 2014 - 2015
Đề thi thử vào lớp 10 môn Ngữ văn trường THCS Quỳnh Hoa, Thái Bình năm 2014 - 2015
| TRƯỜNG THCS LONG HƯNG | THI THỬ VÀO PTTH NĂM HỌC 2015-2016 LẦN THỨ 1- THỜI GIAN 120 PHÚT |
Câu 1: (1,5 đ)
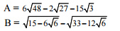
a) Rút gọn các biểu thức
![]()
b) Giải phương trình: 3x2 + 5x - 2 = 0
Câu 2 (1,5 đ): Cho hàm số y = - 3x2
a) Vẽ đồ thi (P) của hàm số.
b) Tìm các điểm A, B thuộc đồ thị hàm số và lần lượt có hoành độ là -1 và 1/2
c) Tìm điểm I thuộc trục tung sao cho A, I, B thẳng hàng.
Câu 3: (2 đ): Cho hệ phương trình: ![]()
a) Giải hê phương trình với a = 3
b) Tìm các giá trị nguyên của a để hệ có nghiệm duy nhất (x;y) với x; y là các số nguyên.
Câu 4: (1 đ): Hai vòi nước cùng chảy vào một cái bể không chứa nước dự kiến trong 4giờ thì đầy bể. Nhưng thực tế hai vòi cùng chảy trong 2 giờ đầu, sau đó vòi thứ hai chảy một mình trong 6 giờ nữa mới đầy bể. Hỏi nếu chảy riêng thì mỗi vòi chảy trong bao lâu sẽ đầy bể?
Câu 5: (3 đ): Từ điểm A bên ngoài đường tròn (O) vẽ hai tiếp tuyến AB, AC và cát tuyến AMN đến đường tròn (O). Gọi E là trung điểm của MN, đường thẳng CE cât đường tròn (O) tại I.
a. Chứng minh năm điểm A, B, O, E, C cùng thuộc một đường tròn, tìm tâm K của đường tròn đó.

Xác định vị trí của cát tuyến AMN sao cho tổng AM + AN đạt giá trị lớn nhất

Đáp án đề thi thử vào lớp 10 môn Toán
