Đề thi thử vào lớp 10 môn Toán trường THCS Đông Hoàng năm 2014 - 2015
Đề thi thử vào lớp 10 môn Toán
Đề thi thử vào lớp 10 môn Toán trường THCS Đông Hoàng năm 2014 - 2015 được VnDoc.com sưu tầm và giới thiệu tới các bạn học sinh nhằm giúp các em học sinh có thêm nhiều tài liệu ôn thi vào lớp 10 môn Toán hiệu quả. Mời các em cùng tham khảo.
Đề thi thử vào lớp 10 môn Toán trường THCS Ngô Gia Tự năm 2014 - 2015
Đề thi thử vào lớp 10 môn Ngữ văn trường THCS Quỳnh Châu, Nghệ An năm 2014 - 2015
| THCS ĐÔNG HOÀNG | ĐỀ THI THỬ VÀO LỚP 10 MÔN: TOÁN NĂM: 2014 - 2015 |
Bài 1: (2 điểm)
1- Giải phương trình x2 – 7x + 6 = 0
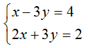
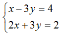
2- Giải hệ phương trình:

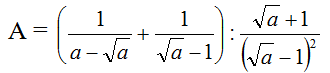
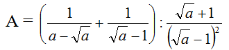
Bài 2: (2 điểm) Cho biểu thức:

1- Rút biểu thức A
2- Tìm giá trị của a để A = 1/3.
3- Tìm giá trị lớn nhất của biểu thức P = A - 9√a
Bài 3: (2 điểm)
1- Xác định hàm số y = ax + b, biết đồ thị của hàm số là đường thẳng song song với đường thẳng y = – 2x + 1 và đi qua điểm M(1 ; – 3).
2- Cho phương trình: x2 + 2x + a-1= 0 ( a là tham số)
Tìm a để phươngng trình có hai nghiệm x1; x2 thỏa mãn 3x1+2x2 = 1
Bài 4: (3 điểm)
Cho nửa đường tròn tâm O đường kính AB. Lấy điểm M thuộc đoạn thẳng OA, điểm N thuộc nửa đường tròn (O). Từ A và B vẽ các tiếp tuyến Ax và By. Đường thẳng qua N và vuông góc với NM cắt Ax, By thứ tự tại C và D.
a) Chứng minh ACNM và BDNM là các tứ giác nội tiếp đường tròn.
b) Chứng minh ∆ANB đồng dạng với ∆CMD.
c) Gọi I là giao điểm của AN và CM, K là giao điểm của BN và DM. Chứng minh IK //AB.
Bài 5: (1 điểm) Cho các số dương a, b, c thỏa mãn abc = 1. Tìm giá trị lớn nhất của:
![]()
Đáp án đề thi thử vào lớp 10 môn Toán
