Đề thi thử vào lớp 10 môn Toán phòng GD&ĐT Bình Lục, Hà Nam năm học 2022-2023

Đề thi tuyển sinh vào lớp 10 môn Toán phòng GD&ĐT Bình Lục, Hà Nam năm học 2022-2023
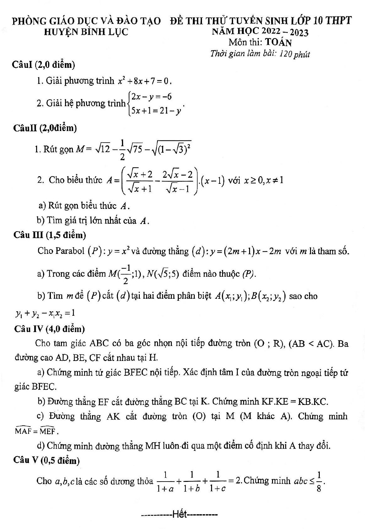
VnDoc.com xin gửi tới bạn đọc bài viết bạn đọc Đề thi thử vào lớp 10 môn Toán phòng GD&ĐT Bình Lục, Hà Nam năm học 2022-2023 để bạn đọc cùng tham khảo. Hi vọng qua bài viết này bạn đọc có thêm nhiều tài liệu để ôn tập thật tốt cho kì thi tuyển sinh lớp 10 sắp tới nhé. Mời các bạn cùng tham khảo chi tiết và tải về bài viết dưới đây.
- Đề thi thử vào lớp 10 môn Toán trường THCS Vĩnh Quang, Thanh Hóa năm học 2022-2023
- Đề thi thử vào lớp 10 môn Toán lần 2 phòng GD&ĐT Tân Kỳ, Nghệ An năm học 2022-2023
Đề thi thử vào lớp 10 môn Toán phòng GD&ĐT Bình Lục, Hà Nam năm học 2022-2023 được biên soạn theo cấu trúc đề thi tự luận. Đề được tổng hợp gồm có 5 câu hỏi tự luận. Thí sinh làm bài trong thời gian 120 phút. Nội dung kiến thức nằm trong chương trình học lớp 9 như giải phương trình, giải hệ phương trình, rút gọn biểu thức, tìm giá trị lớn nhất...
Trên đây VnDoc.com vừa gửi tới bạn đọc bài viết Đề thi thử vào lớp 10 môn Toán phòng GD&ĐT Bình Lục, Hà Nam năm học 2022-2023. Chắc hẳn qua bài viết bạn đọc đã nắm được những ý chính cũng như trau dồi được nội dung kiến thức của đề thi rồi đúng không ạ? Mong rằng qua bài viết này bạn đọc có thêm nhiều tài liệu để học tập tốt hơn môn Toán lớp 9 nhé. Mời các bạn cùng tham khảo thêm tại mục Ngữ văn lớp 9, Tiếng Anh lớp 9...