Đề thi thử vào lớp 10 môn Toán Phòng GD&ĐT Chiêm Hóa, Tuyên Quang năm học 2017 - 2018
Đề thi thử vào lớp 10 môn Toán
Đề thi thử vào lớp 10 môn Toán Phòng GD&ĐT Chiêm Hóa, Tuyên Quang năm học 2017 - 2018. Đề thi nhằm kiểm tra, đánh giá năng lực học tập của học sinh lớp 9 để có kế hoạch tổ chức ôn thi vào lớp 10 hiệu quả. Mời quý thầy cô và các bạn học sinh cùng tham khảo.
Đề thi thử vào lớp 10 môn Toán trường THCS Nam Đà, Hải Phòng năm học 2017 - 2018 (Lần 1)
Đề thi thử vào lớp 10 môn Toán Sở GD&ĐT Tuyên Quang năm học 2017 - 2018
| PHÒNG GD&ĐT CHIÊM HÓA | ĐỀ THI TUYỂN SINH VÀO LỚP 10 THPT NĂM HỌC 2017 - 2018 MÔN: TOÁN Thời gian: 120 phút (Không kể thời gian giao đề) |
Câu 1 (2,0 điểm): Cho hàm số.
a) Với những giá trị nào của m thì hàm số bậc nhất y = (m - 1)x + 3 đồng biến?
b) Hàm số y = 5x2 đồng biến và nghịch biến khi nào?
Câu 2 (2,0 điểm)
a) Giải phương trình: 7x2 - 8x + 1 = 0
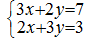
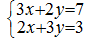
b) Giải hệ phương trình ![]()
Câu 3 (2,0 điểm): Tìm hai số tự nhiên, biết rằng tổng của chúng bằng 1006 và nếu lấy số lớn chia cho số nhỏ thì được thương là 2 và dư là 124.
Câu 4 (3,0 điểm): Cho nửa đường tròn (O) đường kính AB. Kẻ tiếp tuyến Bx với nửa đường tròn. Gọi C là điểm trên nửa đường tròn sao cho cung CB bằng cung CA, D là một điểm tuỳ ý trên cung CB (D khác C và B). Các tia AC, AD cắt tia Bx theo thứ tự ở E và F
a, Chứng minh tam giác ABE vuông cân.
b, Chứng minh FB2 = FD.FA
c, Chứng minh tứ giác CDFE nội tiếp được đường tròn.
Câu 5 (1,0 điểm): Chứng minh bất đẳng thức:
, (a, b, c đều dương)
Đáp án đề thi thử vào lớp 10 môn Toán


