Đề thi thử vào lớp 10 môn Toán Sở GD&ĐT Tuyên Quang năm học 2017 - 2018
Đề thi thử vào lớp 10 môn Toán
Xin giới thiệu đến các bạn học sinh lớp 9: Đề thi thử vào lớp 10 môn Toán Sở GD&ĐT Tuyên Quang năm học 2017 - 2018. Thông qua việc giải các đề thi này, các bạn học sinh sẽ dễ dàng tiếp cận với cấu trúc đề thi từ đó rút kinh nghiệm cho bài thi của mình. Chúc các bạn ôn thi tốt.
Đề thi thử vào lớp 10 môn Toán Sở GD&ĐT Hải Phòng năm học 2017 - 2018
Đề thi thử vào lớp 10 môn Toán trường THCS Nam Đà, Hải Phòng năm học 2017 - 2018 (Lần 1)
| SỞ GIÁO DỤC VÀ ĐÀO TẠO TUYÊN QUANG |
ĐỀ THI TUYỂN SINH VÀO LỚP 10 THPT NĂM HỌC 2017 - 2018 Môn thi: Toán Thời gian: 120 phút (không kể thời gian giao đề) Đề có 01 trang |
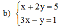
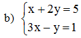
Câu 1: (2,0 điểm): Giải phương trình và hệ phương trình sau
a) x2 - 6x + 9 = 0

Câu 2: (1,0 điểm) Tìm tọa độ giao điểm của đường thẳng (d): y = - x + 2 và Parabol (P): y = x2
Câu 3: (2,5 điểm) Một ca nô xuôi dòng 42 km rồi ngược dòng trở lại là 20 km mất tổng cộng 5 giờ. Biết vận tốc của dòng chảy 2 km/giờ. Tìm vận tốc của ca nô lúc dòng nước yên lặng
Câu 4: (3,5 điểm): Cho đường tròn (O, R) có bán kính bằng 3cm đường kính AB, điểm I nằm giữa A và O sao cho AI = 2/3AO. Kẻ dây MN vuông góc với AB tại I. Gọi C là điểm tùy ý thuộc cung lớn MN sao cho C không trùng với M, N và B. Nối A với C cắt MN tại E.
a) Chứng minh tứ giác IECB nội tiếp được trong một đường tròn.
b) Chứng minh tam giác đồng dạng với tam giác
c) Cho MI = 2 cm. Tính diện tích tam giác AMB
Câu 5: (1,0 điểm) Tìm giá trị nhỏ nhất của đa thức sau: A = x2 - 5x + 7
Đáp án đề thi thử vào lớp 10 môn Toán


