Đề thi thử vào lớp 10 môn Toán Phòng GD&ĐT Hà Trung, Thanh Hóa năm học 2016 - 2017 (Lần 2)
Đề thi thử vào lớp 10 môn Toán
Đề thi thử vào lớp 10 môn Toán Phòng GD&ĐT Hà Trung, Thanh Hóa năm học 2016 - 2017 (Lần 2) được thư viện đề thi VnDoc.com sưu tầm và đăng tải. Đề thi có kèm theo đáp án, hi vọng giúp các bạn ôn thi, luyện đề hiệu quả nhằm đạt kết quả tốt trong kì thi tuyển sinh lớp 10 THPT năm nay.
Đề thi thử vào lớp 10 môn Toán trường THCS Hoàng Hoa Thám, Lào Cai năm học 2017 - 2018
Đề thi thử vào lớp 10 môn Toán Phòng GD&ĐT Yên Sơn, Tuyên Quang năm học 2017 - 2018
| PHÒNG GD&ĐT HÀ TRUNG |
ĐỀ THI THỬ VÀO LỚP 10 THPT (LẦN 2) Năm học: 2016-2017 Môn thi: Toán (Thời gian là bài 120 phút không kể thời gian giao đề) |
Câu 1: (2.0 điểm)
1. Giải các phương trình sau:
a. 5y + 11 = 0
b. x2 - 3x - 18 =0
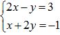
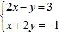
2. Giải hệ phương trình sau: 
Câu 2: (2.0 điểm)
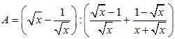
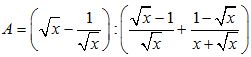
a. Rút gọn biểu thức: 
b. Một đoàn xe chở 480 tấn hàng. Khi sắp khởi hành có thêm 3 xe nữa nên mỗi xe chở ít hơn 8 tấn. Hỏi lúc đầu đoàn xe có bao nhiêu chiếc?
Câu 3: (2.0 điểm) Cho phương trình: x2 - 4x + m + 1 = 0 (1)
a. Giải phương trình (1) khi m = 2.
b. Tìm giá trị của m để phương trình (1) có 2 nghiệm x1, x2 thỏa mãn đẳng thức x12 + x22 = 5 (x1 + x2)
Câu 4: (3.0 điểm) Cho tam giác ABC nội tiếp đường tròn (O). Phân giác trong của góc BAC cắt BC tại D và cắt đường tròn tại M. Phân giác ngoài của góc BAC cắt đường thẳng BC tại E và cắt đường tròn tại N. Gọi K là trung điểm của DE. Chứng minh:
a. MN vuông góc với BC tại trung điểm của BC
b. Góc ABN = góc EAK
c. AK tiếp xúc với đường tròn (O)
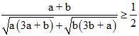
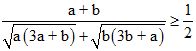
Câu 5: (1.0 điểm) Với a, b là các số dương.
Chứng minh rằng: 
Đáp án đề thi thử vào lớp 10 môn Toán


