Đề thi thử vào lớp 10 môn Toán Phòng GD&ĐT Yên Sơn, Tuyên Quang năm học 2017 - 2018
Đề thi thử vào lớp 10 năm 2017 môn Toán
Để không bỡ ngỡ khi bước vào kì tuyển sinh vào lớp 10 các bạn học sinh hãy tham khảo và làm nhiều đề thi thử. Hôm nay VnDoc xin giới thiệu tới bạn: Đề thi thử vào lớp 10 môn Toán Phòng GD&ĐT Yên Sơn, Tuyên Quang năm học 2017 - 2018. Việc tham khảo đề thi này sẽ giúp các bạn làm quen với cấu trúc đề, củng cố kiến thức, nâng cao kỹ năng giải đề.
Đề thi thử vào lớp 10 môn Toán Phòng GD&ĐT Lâm Bình, Tuyên Quang năm học 2017 - 2018
Đề thi thử vào lớp 10 môn Toán Phòng GD&ĐT Na Hang, Tuyên Quang năm học 2017 - 2018
Đề thi thử vào lớp 10 môn Toán Phòng GD&ĐT Sơn Dương, Tuyên Quang năm học 2017 - 2018
| PHÒNG GD&ĐT YÊN SƠN | ĐỀ THI THỬ TUYỂN SINH VÀO LỚP 10 THPT Năm học 2017 - 2018 MÔN THI: TOÁN Thời gian: 120 phút (không kể thời gian giao đề) |
Câu 1 (2,0 điểm)
a) Giải phương trình: x2 + 6x + 9 = 0
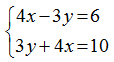
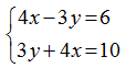
b) Giải hệ phương trình: 
Câu 2 (2,0 điểm)
1. Cho hai hàm số bậc nhất y = -x + 2 và y = (m + 3)x + 4. Tìm các giá trị của m để đồ thị của hàm số đã cho là:
a) Hai đường thẳng cắt nhau.
b) Hai đường thẳng song song.
2. Tìm giá trị của a để đồ thị hàm số y = ax2 (a ≠ 0) đi qua điểm M(-1; 2).
Câu 3 (2,0 điểm)
Một ca nô chạy xuôi dòng từ A đến B rồi chạy ngược dòng từ B đến A hết tất cả 4 giờ. Tính vận tốc ca nô khi nước yên lặng, biết rằng quãng sông AB dài 30 km và vận tốc dòng nước là 4 km/giờ.
Câu 4 (3,5 điểm)
Cho tam giác ABC vuông ở A. Trên AC lấy một điểm M và vẽ đường tròn đường kính MC. Kẻ BM cắt đường tròn tại D. Đường thẳng DA cắt đường tròn tại S. Chứng minh rằng:

c) CA là tia phân giác của
Câu 5 (0,5 điểm)
Cho các số x,y thỏa mãn x ≥ 0; y ≥ 0 và x + y = 1.
Tìm giá trị lớn nhất và nhỏ nhất của A = x2 + y2.
Đáp án đề thi thử vào lớp 10 môn Toán


