Giao diện mới của VnDoc Pro: Dễ sử dụng hơn - chỉ tập trung vào lớp bạn quan tâm. Vui lòng chọn lớp mà bạn quan tâm: Lưu và trải nghiệm
Đóng
Điểm danh hàng ngày
  • Hôm nay +3
  • Ngày 2 +3
  • Ngày 3 +3
  • Ngày 4 +3
  • Ngày 5 +3
  • Ngày 6 +3
  • Ngày 7 +5
Bạn đã điểm danh Hôm nay và nhận 3 điểm!
Nhắn tin Zalo VNDOC để nhận tư vấn mua gói Thành viên hoặc tải tài liệu Hotline hỗ trợ: 0936 120 169

Đề thi thử vào lớp 10 môn Toán phòng GD&DT Tiền Hải, Thái Bình năm 2016 - 2017

Lớp: Lớp 9
Môn: Toán
Loại File: PDF + Word
Phân loại: Tài liệu Tính phí

Đề thi thử vào lớp 10 môn Toán

Đề thi thử vào lớp 10 môn Toán phòng GD&ĐT Tiền Hải, Thái Bình năm 2016 - 2017 được VnDoc sưu tầm và đăng tải nhằm giúp các em học sinh có thêm nhiều tài liệu ôn thi vào lớp 10 môn Toán để tham khảo chuẩn bị tốt cho kì thi tuyển sinh sắp tới đây đạt kết quả cao. Mời các em cùng tham khảo.

Đề thi thử vào lớp 10 môn Ngữ văn lần 1 trường THPT Chuyên Nguyễn Huệ năm 2016 - 2017

Đề thi thử vào lớp 10 môn Toán thành phố Hà Nội năm học 2015-2016

PHÒNG GIÁO DỤC - ĐÀO TẠO
TIỀN HẢI
ĐỀ KHẢO SÁT TUYỂN SINH LỚP 10
NĂM: 2016 - 2017
MÔN: TOÁN
(Thời gian làm bài 120 phút)

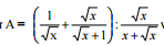
Bài 1 (2,0 điểm) Cho biểu thức Đề thi thử vào lớp 10 môn Toán với x>0

a) Rút gọn A.

b) Tìm x để A = 13/3

c) Tìm giá trị nhỏ nhất của A

Bài 2 (2,0 điểm) Cho đường thẳng (d): y = x - m + 1 và parabo; (P) : y = x2

a) Khi m = -1 hãy tìm tọa độ giao điểm của (d) và (P)

b) Tìm m để đường thẳng (d) và paradol (P) : y= x2 cắt nhau tại 2 điểm phân biệt bên phải trục tung.

Bài 3 (2,0 điểm) Cho hệ phương trình Đề thi thử vào lớp 10 môn Toán

a) Giải hệ phương trình khi m = 2

b) Tìm m để hệ phương trình có nghiệm duy nhất (x; y) thỏa mãn: x2 + y2 = 5/2

Câu 4 ( 3,5 điểm) Cho nửa đường tròn tâm O đường kính AB. Trên đoạn OA lấy điểm H (H khác A và O), đường thẳng kẻ qua H vuông góc với AO cắt nửa đường tròn tại C. kẻ HE vuông góc với AC tại E, HF vuông góc với BC tại F. Chứng minh rằng:

a) CH = EF

b) tứ giác AEFB nội tiếp

c) EF vuông góc với OC.

d) Khi H thay đổi trên đoạn OA ( H khác A và O) thì tâm I của đường tròn nội tiếp tam giác CHO di chuyển trên một đương cố định.

Câu 5 (0,5 điểm) Cho các số dương a, b, c thỏa mãn điều kiện: 5a2 + 2abc + 4b2 + 3c2 = 60. Tìm giá trị lớn nhật của biểu thức A = a + b + c

Đề thi thử vào lớp 10 môn Toán trường THCS Thạch Khôi, Hải Dương năm 2014 - 2015

Chọn file muốn tải về:
Đóng Chỉ thành viên VnDoc PRO/PROPLUS tải được nội dung này!
Đóng
79.000 / tháng
Đặc quyền các gói Thành viên
PRO
Phổ biến nhất
PRO+
Tải tài liệu Cao cấp 1 Lớp
30 lượt tải tài liệu
Xem nội dung bài viết
Trải nghiệm Không quảng cáo
Làm bài trắc nghiệm không giới hạn
Mua cả năm Tiết kiệm tới 48%

Có thể bạn quan tâm

Xác thực tài khoản!

Theo Nghị định 147/2024/ND-CP, bạn cần xác thực tài khoản trước khi sử dụng tính năng này. Chúng tôi sẽ gửi mã xác thực qua SMS hoặc Zalo tới số điện thoại mà bạn nhập dưới đây:

Số điện thoại chưa đúng định dạng!
Số điện thoại này đã được xác thực!
Bạn có thể dùng Sđt này đăng nhập tại đây!
Lỗi gửi SMS, liên hệ Admin
Sắp xếp theo
🖼️

Đề thi vào 10 môn Toán

Xem thêm
🖼️

Gợi ý cho bạn

Xem thêm