Đề thi thử vào lớp 10 môn Toán trường THPT chuyên Nguyễn Huệ, Hà Nội lần 2 năm 2016 - 2017
Đề thi thử vào lớp 10 môn Toán
Đề thi thử vào lớp 10 môn Toán trường THPT chuyên Nguyễn Huệ năm 2016 - 2017 có đáp án được VnDoc sưu tầm và đăng tải nhằm giúp các em học sinh có thêm nhiều tài liệu ôn thi vào lớp 10 môn Toán để tham khảo chuẩn bị tốt cho kì thi tuyển sinh sắp tới đây đạt kết quả cao. Mời các em cùng tham khảo.
Đề thi tuyển sinh vào lớp 10 THPT môn Toán sở GD&ĐT Phú Thọ năm 2015 - 2016
| TRƯỜNG THPT CHUYÊN NGUYỄN HUỆ |
ĐỀ THI THỬ TUYỂN SINH LỚP 10 THPT LẦN 2 Năm học:2016-2017 MÔN: TOÁN Đề có một trang, gồm 5 câu. (Thời gian làm bài 120 phút, không kể thời gian giao đề ) |
Câu I: (2,0 điểm)
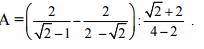
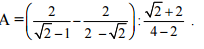
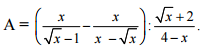
Cho biểu thức ![]()
a) Tìm điều kiện của x để biểu thức A có nghĩa và rút gọn A.
b) Tìm các giá trị của x để ![]()
Câu II: (2,0 điểm) Cho phương trình: x2 - (2m + 1)x + m2 + 5m = 0.
a) Giải phương trình với m = -2 .
b) Tìm m để phương trình có hai nghiệm sao cho tích các nghiệm bằng 6.
Câu III: (2,0 điểm) Một phòng họp có 2016 ghế và được chia thành các dãy có số ghế bằng nhau. Nếu bớt đi mỗi dãy 7 ghế và thêm 4 dãy thì số ghế trong phòng không thay đổi. Hỏi ban đầu số ghế trong phòng họp được chia thành bao nhiêu dãy?
Câu IV: (3,5 điểm) Từ một điểm A nằm ngoài đường tròn (O;R) ta vẽ hai tiếp tuyến AB, AC với đường tròn (B, C là tiếp điểm) và một cát tuyến AMN (M nằm giữa A và N). Gọi I, K, P lần lượt là hình chiếu vuông góc của M xuống các cạnh AB, AC, BC. Gọi E là điểm chính giữa cung nhỏ BC.
a) Chứng minh: AIMK là tứ giác nội tiếp đường tròn.
b) Gọi H là trung điểm đoạn BC. Chứng minh: AM.AN = AH. AO.
c) Chứng minh E là tâm đường tròn nội tiếp tam giác ABC.
d) Xác định vị trí của cát tuyến AMN để (MI2 + MK2 + 2MP2) đạt giá trị nhỏ nhất.
Câu V: (0.5 điểm) Giải phương trình: ![]()
Đáp án đề thi thử vào lớp 10 môn Toán


