Đề thi thử vào lớp 10 môn Toán trường THPT Trần Nguyên Hãn, Hải Phòng năm học 2017 - 2018 (Lần 1)
Đề thi thử vào lớp 10 năm 2017 môn Toán
Đề thi thử vào lớp 10 môn Toán trường THPT Trần Nguyên Hãn, Hải Phòng năm học 2017 - 2018 (Lần 1). Đề thi giúp các bạn học sinh lớp 9 đang ôn thi vào lớp 10 làm quen với các dạng bài tập khó, cấu trúc đề thi. Hi vọng đây sẽ là tài liệu tham khảo hữu ích cho các bạn.
Đề thi thử vào lớp 10 môn Toán trường THCS Hoàng Hoa Thám, Lào Cai năm học 2017 - 2018
| SỞ GD&ĐT HẢI PHÒNG TRƯỜNG THPT TRẦN NGUYÊN HÃN |
KỲ THI THỬ TUYỂN SINH VÀO LỚP 10 THPT Ngày thi 9/4/2017 BÀI THI MÔN TOÁN Thời gian làm bài:120 phút (không kể thời gian giao đề) Chú ý: Đề thi gồm 1 trang. Thí sinh làm bài vào tờ giấy thi. |
Bài 1 (1,5 điểm)
1. Rút gọn các biểu thức sau: 
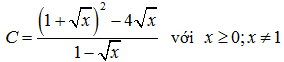
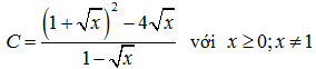
2. Cho biểu thức
. Tính giá trị của biểu thức C khi x = 2.
Bài 2 (1,5 điểm)
a) Cho hàm số y = mx + 3m + 1 (với m là tham số). Tìm tất cả các giá trị của tham số m để đồ thị hàm số cắt đường thẳng y = 2x - 1 tại một điểm có tung độ bằng 2.
b) Giải hệ phương trình 
Bài 3 (2,5 điểm)
1. Cho phương trình x2 - 2(m - 3)x - 1 = 0 (1) (với m là tham số).
a) Giải phương trình (1) khi m = 1.
b) Tìm giá trị nhỏ nhất của biểu thức E = x21 - x1x2 + x22 với x1, x2 là nghiệm của phương trình (1).
2. Để làm được một cái giá sách thì một người thợ mộc cần các vật liệu sau: 4 tấm gỗ dài, 6 tấm gỗ ngắn, 12 cái kẹp nhỏ, 2 cái kẹp lớn và 14 ốc vít. Nếu người thợ mộc đó đang có 26 tấm gỗ dài, 33 tấm gỗ ngắn, 200 cái kẹp nhỏ, 20 cái kẹp lớn và 510 ốc vít thì có thể làm được nhiều nhất bao nhiêu cái giá sách?
Bài 4 (3,5 điểm)
1. Trên đường tròn (O) đường kính AB, lấy điểm D (D ≠ A, D ≠ B). Gọi E là điểm chính giữa cung nhỏ BD. Lấy điểm C trên đoạn thẳng AB (C ≠ A, C ≠ B). Đường thẳng CE cắt đường tròn (O) tại điểm thứ hai là F. Gọi G là giao điểm của AE và DF.
a) Chứng minh
và AGCF là tứ giác nội tiếp.
b) Chứng minh CG vuông góc với AD.
c) Kẻ đường thẳng đi qua C, song song với AD và cắt DF tại H. Chứng minh .
2. Một hình trụ có bán kính đáy bằng 2 cm và chiều cao bằng hai lần đường kính đáy. Tính thể tích của hình trụ đó.
Bài 5 (1,0 điểm)
a) Cho x, y là các số thực dương. Chứng minh:
.
b) Cho a, b, c là các số thực dương. Chứng minh rằng:
![]()
Đáp án đề thi thử vào lớp 10 môn Toán



Chú ý:
- Trên đây chỉ trình bày một cách giải, nếu thí sinh làm cách khác mà đúng thì cho điểm tối đa ứng với điểm của câu đó trong biểu điểm.
- Thí sinh làm đúng đến đâu thì cho điểm đến đó theo đúng biểu điểm.
- Thí sinh trình bày một câu hai lần giống nhau hoặc hai cách khác nhau mà có kết quả không thống nhất thì không cho điểm câu đó.
- Trong một câu, thí sinh làm phần trên sai, phần dưới đúng thì không cho điểm.
- Bài hình học, thí sinh vẽ sai hình thì không cho điểm. Thí sinh không vẽ hình mà vẫn làm đúng thì cho nửa số điểm của các câu làm được.
- Bài làm có nhiều ý liên quan đến nhau, nếu thí sinh công nhận ý trên mà làm đúng ý dưới thì cho điểm ý đó.