Đề thi thử vào lớp 10 THPT môn Toán phòng GD&ĐT Sông Lô, Vĩnh Phúc năm 2016 - 2017
Đề thi thử vào lớp 10 THPT môn Toán
Đề thi thử vào lớp 10 THPT môn Toán phòng GD&ĐT Sông Lô, Vĩnh Phúc năm 2016 - 2017 được VnDoc sưu tầm và đăng tải nhằm giúp các em học sinh có thêm nhiều tài liệu ôn thi vào lớp 10 môn Toán để tham khảo chuẩn bị tốt cho kì thi tuyển sinh sắp tới đây đạt kết quả cao. Mời các em cùng tham khảo.
Đề thi thử vào lớp 10 THPT môn Ngữ văn lần 4 trường THCS Đức Giang, Hà Nội năm 2015 - 2016
Đề thi tuyển sinh vào lớp 10 môn Toán sở GD&ĐT Tiền Giang năm 2015 - 2016
| PHÒNG GD&ĐT SÔNG LÔ | ĐỀ THI THỬ VÀO LỚP 10 THPT NĂM HỌC 2016–2017 MÔN: TOÁN Thời gian làm bài: 120 phút, không kể thời gian giao đề (Đề thi này gồm 01 trang) |
A. PHẦN TRẮC NGHIỆM (2,0 điểm): Ghi vào tờ giấy làm bài thi của mình như sau: Nếu ở câu 1, em chọn lựa chọn A thì viết là: Câu 1: A. Tương tự cho các câu từ 2 đến 4.
Câu 1. Điều kiện xác định của biểu thức
là:
![]()
Câu 2. Hàm số y = (1 – m)x – 3 và cùng đồng biến khi và chỉ khi giá trị m thỏa mãn:
A. – 1 < m < 0 B. 0 < m < 1 C. – 1 < m < 2 D. m > 0
Câu 3. Trong mặt phẳng tọa độ Oxy, đường thẳng (d) đi qua điểm M(-1;3). Hệ số góc của (d) là:
A. –1. B. –2. C. 2. D. 3.
Câu 4. Một hình nón có chiều cao bằng 4cm, đường sinh bằng 5cm. Diện tích xung quanh của hình nón bằng:
A. 20πcm2. B. 15πcm2. C. 12πcm2. D. 40πcm2.
B. PHẦN TỰ LUẬN (8,0 điểm):
Câu 5 (2,0 điểm).
1. Giải hệ phương trình:
2. Cho hàm số y = ( √2 - 2)x +√8. Tìm x để hàm số nhận giá trị là 2016 +√2
Câu 6 (1,5 điểm). Cho phương trình ẩn x tham số m: x2 + 2mx + m2 –3m + 2= 0 (1)
a) Tìm m để phương trình (1) có nghiệm bằng 0. Tìm nghiệm còn lại nếu có?
b) Xác định m để phương trình (1) có hai nghiệm x1, x2 thỏa mãn: x2 + 2x1 = 3.
Câu 7 (1,25 điểm) Một đoàn xe vận tải dự định điều một số xe cùng loại để vận chuyển 40 tấn hàng. Lúc sắp khởi hành, đoàn được giao thêm 14 tấn nữa. Do đó phải điều thêm 2 xe cùng loại trên và mỗi xe phải chở thêm 0,5 tấn so với ban đầu. Tính số xe dự định phải điều ban đầu và số lượng hàng chở thực tế của mỗi xe. Biết rằng mỗi xe đều chở số lượng hàng như nhau và số xe ban đầu của đoàn không quá 15 xe.
Câu 8 (2,5 điểm) Cho tam giác ABC (có 3 góc nhọn, AC > AB > BC) nội tiếp đường tròn (O).Vẽ các tiếp tuyến của đường tròn (O) tại A, B cắt nhau tại M. Gọi H là hình chiếu vuông góc của O trên MC.
a) Chứng minh năm điểm M, A, B, O, H cùng thuộc một đường tròn.
b) Chứng minh rằng: HM là phân giác của góc AHB.
c) Qua C, kẻ đường thẳng song song với AB cắt MA, MB lần lượt tại E, F; HE cắt AC tại P; HF cắt BC ở Q. Chứng minh rằng PQ//FE.
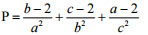
Câu 9 (0,75 điểm).
Xét các số thực a, b, c lớn hơn 1 thỏa mãn 2a + 2b + 2c = 3abc. Tìm giá trị nhỏ nhất có thể được của biểu thức ![]()
Đáp án đề thi thử vào lớp 10 THPT môn Toán
Đề thi thử vào lớp 10 THPT môn Ngữ văn trường THCS Cao Viên, Hà Nội năm 2015 - 2016
Đề thi thử vào lớp 10 THPT môn Toán Sở GD&ĐT Thanh Hóa năm 2016 - 2017
A. PHẦN TRẮC NGHIỆM (2,0 điểm). Mỗi câu đúng được 0,5 điểm.
| Câu | 1 | 2 | 3 | 4 |
| Đáp án | D | B | C | B |
B. PHẦN TỰ LUẬN:



