Đề thi thử vào lớp 10 THPT môn Toán trường THCS Cao Dương, Hà Nội năm 2016 - 2017
Đề thi thử vào lớp 10 THPT môn Toán
Đề thi thử vào lớp 10 THPT môn Toán trường THCS Cao Dương, Hà Nội năm 2016 - 2017 được VnDoc sưu tầm và đăng tải nhằm giúp các em học sinh có thêm nhiều tài liệu ôn thi vào lớp 10 môn Toán để tham khảo chuẩn bị tốt cho kì thi tuyển sinh sắp tới đây đạt kết quả cao. Mời các em cùng tham khảo.
Đề thi thử vào lớp 10 THPT môn Toán trường THCS Sơn Hải, Nghệ An năm 2015 - 2016
Đề thi thử vào lớp 10 THPT môn Ngữ văn lần 4 trường THCS Đức Giang, Hà Nội năm 2015 - 2016
| TRƯỜNG THCS CAO DƯƠNG | ĐỀ THI THỬ VÀO LỚP 10 THPT Năm học 2016-2017 Môn: Toán Thời gian làm bài 120 phút Ngày thi: 26/5/2016 (Đề thi gồm 5 câu, 01 trang) |
Câu 1. (2,0 điểm) Giải các phương trình sau:
a) 2x - x2 = 0
![]()
Câu 2. (2,0 điểm)
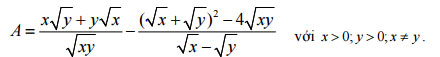
a) Rút gọn biểu thức

b) Cho hệ phương trình:![]()
Tìm m để hệ phương trình có nghiệm thỏa mãn đẳng thức
Câu 3. (2,0 điểm)
a) Tìm m để đồ thị hàm số y = (m2 - 4)x + 2m - 7 song song với đồ thị hàm số y = 5x -1
b) Một tam giác vuông có chu vi 24 cm. Độ dài hai cạnh góc vuông hơn kém nhau 2 cm. Tính diện tích của tam giác vuông đó ?
Câu 4. (3,0 điểm)
Cho đường tròn (O; R), đường kính AB vuông góc với dây cung MN tại điểm H (H nằm giữa O và B). Trên tia đối của tia NM lấy điểm C nằm ngoài đường tròn (O; R) sao cho đoạn thẳng AC cắt đường tròn (O; R) tại điểm K khác A. Hai dây MN và BK cắt nhau ở E. Qua N kẻ đường thẳng vuông góc với AC cắt tia MK tại F. Chứng minh:
a) Tứ giác AHEK nội tiếp
b) Tam giác NFK cân và EM.NC = EN.CM
c) Giả sử KE = KC. Chứng minh OK // MN và KM2 + KN2 = 4R2
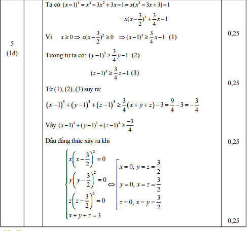
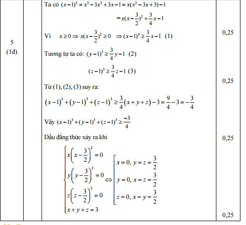
Câu 5. (1,0 điểm) Cho các số thực x, y, z không âm thỏa mãn x + y + z = 3. Chứng minh:
![]()
Đáp án đề thi thử vào lớp 10 THPT môn Toán
Đề thi thử vào lớp 10 THPT môn Toán phòng GD&ĐT Sông Lô, Vĩnh Phúc năm 2016 - 2017
Đề thi thử vào lớp 10 THPT môn Ngữ văn trường THCS Cao Viên, Hà Nội năm 2015 - 2016


Câu 4:



