Đề thi thử vào lớp 10 THPT môn Toán trường THCS Nguyễn Khuyến, Đà Nẵng năm 2016 - 2017
Đề thi thử vào lớp 10 THPT môn Toán
Đề thi thử vào lớp 10 THPT môn Toán trường THCS Nguyễn Khuyến, Đà Nẵng năm 2016 - 2017 được VnDoc sưu tầm và đăng tải nhằm giúp các em học sinh có thêm nhiều tài liệu ôn thi vào lớp 10 môn Toán để tham khảo chuẩn bị tốt cho kì thi tuyển sinh sắp tới đây đạt kết quả cao. Mời các em cùng tham khảo.
Bộ đề thi vào lớp 10 THPT môn Ngữ văn năm học 2016 - 2017
Đề thi thử vào lớp 10 THPT môn Toán trường THCS THCS Văn Khê, Hà Nội năm 2016 - 2017
Đề thi thử vào lớp 10 môn Ngữ văn trường THCS Cao Viên, Hà Nội năm 2015 - 2016 (Lần 2)
TRƯỜNG THCS NGUYỄN KHUYẾN
ĐỀ THI VÀO LỚP 10 THPT CHUYÊN
NĂM HỌC 2016 – 2017
Môn: Toán ( Đề chung)
Thời gian làm bài: 120 phút (không kể thời gian giao đề)
Câu 1 (2 điểm)
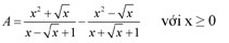
Cho biểu thức ![]()
a) Rút gọn biểu thức A
b) Tính giá trị của biểu thức A khi x = 29 - 12√5
c) Tìm giá trị của m để x thỏa mãn x + A = m.
Câu 2 (1,5 điểm)
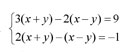
a) Giải hệ phương trình 
b) Cho phương trình x2 – 2(m-1)x + 3 – 3m = 0 (m là tham số)
Tìm giá trị của m để phương trình có hai nghiệm x1, x2 thỏa mãn x12 + x22 = 6x1x2 + 3m2
Câu 3 (1,5 điểm)
Cho parabol (P): y = x2 và hai điểm A, B thuộc (P) có hoành độ lần lượt là -1 và 3
a) Viết phương trình đường thẳng AB
b) Xác định vị trí điểm C thuộc cung nhỏ AB của (P) sao cho diện tích tam giác ABC lớn nhất
Câu 4. (4,0 điểm)
Cho đường tròn (O;R) có đường kính AB vuông góc với dây cung MN tại H (H nằm giữa O và B). Trên tia MN lấy điểm C nằm ngoài đường tròn (O;R) sao cho đoạn thẳng AC cắt đường tròn (O; R) tại điểm K khác A, hai dây MN và BK cắt nhau ở E.
1. Chứng minh rằng AHEK là tứ giác nội tiếp và CAE đồng dạng với CHK.
2. Qua N kẻ đường thẳng vuông góc với AC cắt tia MK tại F. Chứng minh NFK cân.
3. Giả sử KE = KC. Chứng minh: OK//MN và KM2 + KN2 = 4R2.
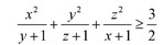
Câu 5 (1 điểm)
Cho x, y, z là ba số dương thỏa mãn xyz = 1. Chứng minh rằng: ![]()
Đáp án đề thi thử vào lớp 10 THPT môn Toán
Bộ đề thi vào lớp 10 THPT môn Toán năm học 2016 - 2017
Đề thi thử vào lớp 10 THPT môn Toán phòng GD&ĐT Hoằng Hóa, Thanh Hóa năm 2016 - 2017
Đề thi thử vào lớp 10 THPT môn Ngữ văn trường THCS THCS Phương Cường Xá, Thái Bình năm 2016 - 2017


