Đề thi tuyển sinh lớp 10 THPT tỉnh Hải Dương năm 2013 - 2014
Đề thi tuyển sinh vào lớp 10
Đề thi tuyển sinh lớp 10 THPT tỉnh Hải Dương năm 2013 - 2014 là bộ đề thi bao gồm các môn Toán, Ngữ Văn, Lý được VnDoc sưu tầm và chọn lọc giúp các bạn ôn luyện, củng cố kiến thức ôn tập tốt nhất cho kỳ thi tuyển sinh vào lớp 10. Bộ đề thi bao gồm các bài tập phong phú đa dạng, mời các bạn cùng tham khảo và tải về.
Tuyển tập đề thi vào lớp 10 môn Ngữ văn các tỉnh năm học 2014 - 2015
|
SỞ GIÁO DỤC VÀ ĐÀO TẠO ĐỀ THI CHÍNH THỨC |
KỲ THI TUYỂN SINH LỚP 10 THPT Môn thi: TOÁN |
Câu 1 (2,0 điểm):
1) Giải phương trình: (x – 2)2 = 9
2) Giải hệ phương trình: 
Câu 2 (2,0 điểm):
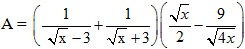
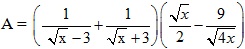
1) Rút gọn biểu thức:
với x > 0 và x # 9
2) Tìm m để đồ thị hàm số y = (3m -2) x +m – 1 song song với đồ thị hàm số y = x +5
Câu 3 (2 ,0 điểm):
1) Một khúc sông từ bến A đến bến B dài 45 km. Một ca nô đi xuôi dòng từ A đến B rồi ngược dòng từ B về A hết tất cả 6 giờ 15 phút. Biết vận tốc của dòng nước là 3 km/h.Tính vận tốc của ca nô khi nước yên lặng.
2) Tìm m để phương trình x2 – 2(2m +1)x + 4m2 + 4m = 0 có hai nghiệm phân biệt x1, x2 thỏa mãn điều kiện |x1 - x2| = x1 + x2
Câu 4 (3,0 điểm):
Cho nửa đường tròn tâm O đường kính AB, trên nửa đường tròn lấy điểm C (C khác A và B).Trên cung BC lấy điểm D (D khác B và C) .Vẽ đường thẳng d vuông góc với AB tại B. Các đường thẳng AC và AD cắt d lần lượt tại E và F.
1) Chứng minh tứ giác CDFE nội tiếp một đường tròn.
2) Gọi I là trung điểm của BF. Chứng minh ID là tiếp tuyến của nửa đường tròn đã cho.
3) Đường thẳng CD cắt d tại K, tia phân giác của cắt AE và AF lần lượt tại M và N. Chứng minh tam giác AMN là tam giác cân.
Câu 5 (1,0 điểm):
Cho a, b là các số dương thay đổi thoả mãn a + b = 2. Tính giá trị nhỏ nhất của biểu thức:

--------------------------------------------------
|
SỞ GIÁO DỤC VÀ ĐÀO TẠO ĐỀ THI CHÍNH THỨC |
KỲ THI TUYỂN SINH LỚP 10 THPT Môn thi: NGỮ VĂN |
Câu 1 (2,0 điểm)
Cho đoạn thơ sau:
Một bếp lửa chờn vờn sương sớm
Một bếp lửa ấp iu nồng đượm
Cháu thương bà biết mấy nắng mưa.
(Theo Ngữ văn 9, tập 1, Nxb Giáo dục Việt Nam)
a. Đoạn thơ trên trích trong tác phẩm nào? Nêu tên tác giả.
b. Đoạn thơ là dòng hồi tưởng của nhân vật nào? Về ai?
c. Cảm xúc của nhân vật trữ tình trong đoạn thơ được khơi nguồn từ hình ảnh nào? Đó là cảm xúc gì?
Câu 2 (3,0 điểm)
Viết một bài văn ngắn trình bày suy nghĩ của em về tính tự lập.
Câu 3 (5,0 điểm)
Truyện Chiếc lược ngà của Nguyễn Quang Sáng đã thể hiện thật cảm động tình cha con sâu nặng và cao đẹp trong cảnh ngộ éo le của chiến tranh.
(Theo Ngữ văn 9, tập 1, trang 202, Nxb Giáo dục Việt Nam, 2013)
Hãy phân tích đoạn trích đã học trong truyện Chiếc lược ngà của Nguyễn Quang Sáng để làm rõ ý kiến trên.