Đề thi tuyển sinh vào lớp 10 môn Toán trường THPT Chuyên Lam Sơn, Thanh Hóa năm 2016 - 2017
Đề thi tuyển sinh vào lớp 10 môn Toán
Đề thi tuyển sinh vào lớp 10 môn Toán trường THPT Chuyên Lam Sơn, Thanh Hóa năm 2016 - 2017 được VnDoc sưu tầm và đăng tải nhằm giúp các em học sinh có thêm nhiều tài liệu ôn thi vào lớp 10 môn Toán để tham khảo chuẩn bị tốt cho kì thi tuyển sinh sắp tới đây đạt kết quả cao. Mời các em cùng tham khảo.
Đề thi tuyển sinh vào lớp 10 THPT môn Toán sở GD&ĐT Hải Dương năm 2016 - 2017
SỞ GIÁO DỤC VÀ ĐÀO TẠO THANH HÓA
TRƯỜNG THPT CHUYÊN LAM SƠN
ĐỀ THI LỚP 10 THPT
NĂM HỌC 2016 – 2017
Môn thi: Toán chung (Dành cho mọi thí sinh)
(Thời gian làm bài 120 phút)
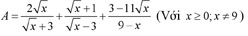
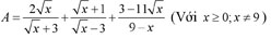
Câu I (2.0 điểm) Cho biểu thức ![]()
a/ Rút gọn A
b/ Tìm tất cả các giá trị của x để A ≥ 0
Câu II (2.0 điểm)
a/ Trong hệ trục tọa độ Oxy cho hai đường thẳng (d1): y = (m2 -1)x + 2m (m là tham số) và (d2): y = 3x + 4. Tìm các giá trị của tham số m để đường thẳng (d1) và (d2) song song với nhau
b/ Cho phương trình: x2 - 2(m -1)x + 2m - 5 = 0 (với m là tham số). Tìm các giá trị của m để phương trình đó có hai nghiệm x1; x2 thỏa mãn (x12 - 2mx1 + 2m - 1)(x2 - 2) ≤ 0
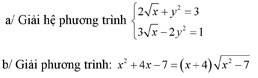
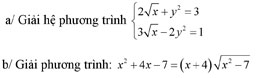
Câu III (2.0 điểm)

Câu IV (3.0 điểm): Cho hình bình hành ABCD với ∠BAD < 90o, tia phân giác góc ∠BCD < 90o cắt đường tròn ngoại tiếp tam giác BCD tại O (Khác C), kẻ đường thẳng (d) đi qua A và vuông góc với CO. Đường thẳng (d) cắt đường thẳng CB, CD lần lượt tại M và N.
a/ Chứng minh ∠OBM = ∠ODC
b/ Chứng minh ∆OBM = ∆ODC và O là tâm đường tròn ngoại tiếp tam giác CMN

Đáp án đề thi tuyển sinh vào lớp 10 môn Toán
Đề thi tuyển sinh vào lớp 10 THPT môn Ngữ văn trường THPT Chuyên Lam Sơn, Thanh Hóa năm 2016 - 2017




