Đề thi vào lớp 10 môn Toán Sở GD&ĐT Phú Thọ năm học 2017 - 2018
Đề thi vào lớp 10 môn Toán
Đề thi vào lớp 10 môn Toán Sở GD&ĐT Phú Thọ năm học 2017 - 2018 có gợi ý đáp án, giúp các bạn học sinh lớp 9 ôn tập lại kiến thức môn Toán, tích lũy thêm cho bản thân mình những kinh nghiệm giải đề hay, đồng thời biết cách phân bổ thời gian làm bài sao cho hợp lý để đạt được điểm số cao cho kì tuyển sinh vào lớp 10 sắp tới.
Đề thi vào lớp 10 THPT môn Toán Sở GD&ĐT Phú Thọ năm 2016 - 2017
Đề thi tuyển sinh vào lớp 10 THPT môn Toán Sở GD&ĐT Hà Tĩnh năm học 2017 - 2018
|
SỞ GIÁO DỤC VÀ ĐÀO TẠO PHÚ THỌ ĐỀ CHÍNH THỨC
|
KỲ THI TUYỂN SINH LỚP 10 TRUNG HỌC PHỔ THÔNG NĂM HỌC 2017-2018 Môn: TOÁN Thời gian làm bài: 120 phút, không kể thời gian giao đề (Đề thi có 01 trang) |

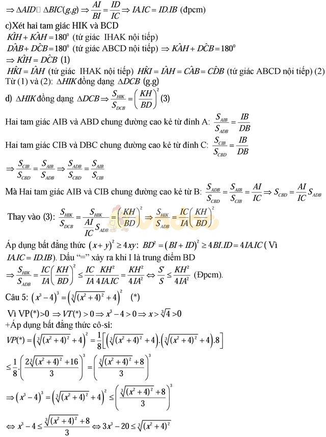
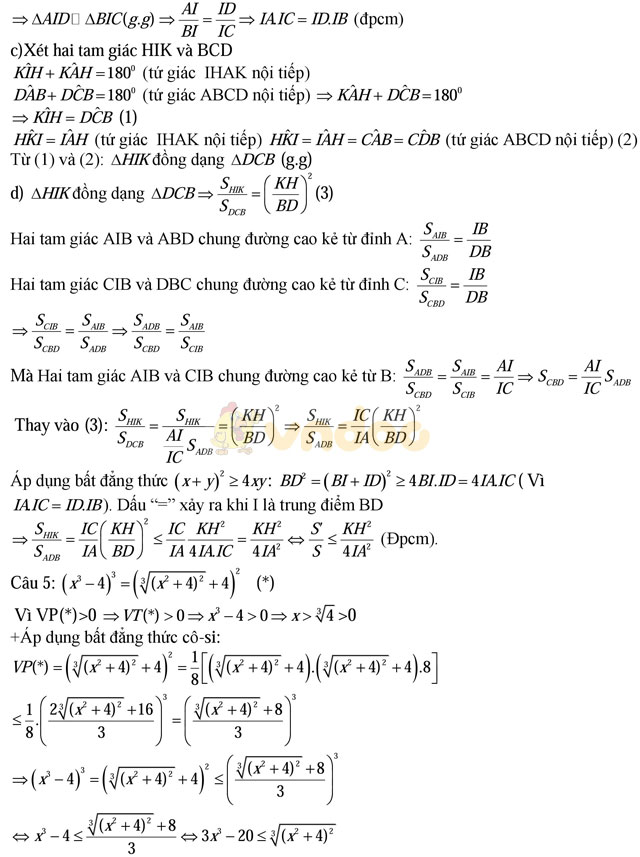
Đáp án đề thi vào lớp 10 môn Toán



