Đề thi vào lớp 10 môn Toán tỉnh Hải Dương năm học 2017 - 2018
Đề thi vào lớp 10 môn Toán
Đề thi vào lớp 10 môn Toán tỉnh Hải Dương năm học 2017 - 2018 bám sát chương trình học và là tài liệu tham khảo quý giá cho quý thầy cô và các em học sinh, nhằm sẵn sàng cho kỳ tuyển sinh vào lớp 10 sắp diễn ra. Chúc các em làm bài đạt kết quả cao.
Đề thi vào lớp 10 môn Toán tỉnh Bình Dương năm học 2017 - 2018
Các bài toán Hình học ôn thi vào lớp 10
Đề thi tuyển sinh vào lớp 10 THPT môn ngữ văn Sở GD&ĐT Hải Dương năm học 2017 - 2018
|
SỞ GIÁO DỤC VÀ ĐÀO TẠO HẢI DƯƠNG ĐỀ CHÍNH THỨC |
KỲ THI TUYỂN SINH LỚP 10 THPT NĂM HỌC 2017 – 2018 Môn thi: TOÁN Thời gian làm bài: 120 phút, không kể thời gian giao đề (Đề thi gồm có 01 trang) |
Câu 1 (2,0 điểm) Giải phương trình và hệ phương trình sau:

Câu 2 (2,0 điểm)
1) Cho hai đường thẳng (d): y = -x + m + 2 và (d'): y = (m2 - 2)x + 3. Tìm m để (d) và (d') song song với nhau.
2) Rút gọn biểu thức:
với x > 0; x ≠ 1; x ≠ 4.
Câu 3 (2,0 điểm)
1) Tháng đầu, hai tổ sản xuất được 900 chi tiết máy. Tháng thứ hai, do cải tiến kỹ thuật nên tổ I vượt mức 10% vả tổ II vượt mức 12% so với tháng đầu, vì vậy, hai tổ đã sản xuất được 1000 chi tiết máy. Hỏi trong tháng đầu mỗi tổ sản xuất được bao nhiêu chi tiết máy?
2) Tìm m để phương trình: x2 + 5x + 3m - 1 = 0 (x là ẩn, m là tham số) có hai nghiệm x1, x2 thỏa mãn
.
Câu 4 (3,0 điểm) Cho đường tròn tâm O, bán kính R. Từ một điểm M ở ngoài đường tròn, kẻ hai tiếp tuyến MA và MB với đường tròn (A, B là các tiếp điểm). Qua A, kẻ đường thẳng song song với MO cắt đường tròn tại E (E khác A), đường thẳng ME cắt đường tròn tại F (F khác E), đường thẳng AF cắt MO tại N, H là giao điểm của MO và AB.
1) Chứng minh: Tứ giác MAOB nội tiếp đường tròn.
2) Chứng minh: MN2 = NF.NA vả MN = NH.
3) Chứng minh:
.
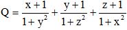
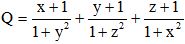
Câu 5 (1,0 điểm) Cho x, y, z là ba số thực dương thỏa mãn: x + y + z = 3. Tìm giá trị nhỏ nhất của biểu thức:
.
----------------------------Hết----------------------------
Họ và tên thí sinh:............................................................Số báo danh:.....................................
Chữ kí của giám thị 1: ........................................Chữ kí của giám thị 2: ..................................