Đề thi Violympic Toán lớp 4 vòng 16 năm 2014 - 2015
Đề thi Violympic Toán lớp 4 Vòng 16
Đề thi Violympic Toán lớp 4 vòng 15 năm 2014-2015 là đề thi giải Toán qua mạng dành cho học sinh lớp 4 có đáp án. Đề thi Toán có đáp án đi kèm, hi vọng giúp các em học sinh ôn tập và củng cố kiến thức, nhằm đạt kết quả cao trong các vòng tiếp theo của cuộc thi Violympic giải Toán qua mạng năm học 2014 - 2015.
Đề thi Violympic Toán lớp 4 vòng 16 năm 2014 - 2015 trực tuyến
Bài 1: Hãy điền số thích hợp vào chỗ chấm
Câu 1.1: Hiệu của số nhỏ nhất có 5 chữ số và số nhỏ nhất có 4 chữ số khác nhau là: ............
Câu 1.2: Tìm x, biết: 3/5 + x/35 = 5/7
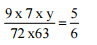
Câu 1.3: Tìm y biết: ![]()
Câu 1.4: Hình bên dưới có ........... góc tù.

Câu 1.5: Quan sát hình vẽ. Cho ABCD là hình chữ nhật. ABEG là hình bình hành. Biết hình chữ nhật có chu vi là 190cm, chiều dài hơn chiều rộng là 25cm.

Diện tích hình bình hành ABEG là ......... cm2.
Câu 1.6: Tính:
............
Câu 1.7: Tính:
..........
Câu 1.8: Tính 19 x 29 x 39 x ..... x 199 kết quả có chữ số tận cùng là ..............
Câu 1.9: Tích sau có tận cùng bằng bao nhiêu chữ số 0?
1 x 2 x 3 x ..... x 50
Câu 1.10: Tính tổng của 30 số lẻ liên tiếp từ 123 trở đi.
Bài 2: Đỉnh núi trí tuệ
Câu 2.1: Rút gọn phân số 306/342 được phân số tối giản là: ...........
Câu 2.2: Tổng của ba số là 600. Tìm số thứ ba, biết số thứ hai hơn số thứ nhất 3 đơn vị nhưng kém số thứ ba 3 đơn vị.
Câu 2.3: Số trung bình cộng của các số tròn chục bé hơn 100 là: ...........
Câu 2.4: Tính: 108 x (47 + 23) - 8 x (27 + 43) = ............
Câu 2.5: Hình bên có ......... đoạn thẳng.

Câu 2.6: Hiện nay anh hơn em 6 tuổi. Sau 6 năm nữa, tuổi anh và tuổi em cộng lại bằng 28 tuổi. Tính tuổi mỗi người hiện nay.
Câu 2.7: Trong một phép chia một số cho 9 có thương là 123, số dư là số dư lớn nhất có thể có được trong phép chia này. Tìm số bị chia.
Câu 2.8: Cho các phân số sau: 104/91; 234/208; 105/120; 112/126. Phải thêm 9/8 vào phân số nào để được 2?
Câu 2.9: Tính tổng các số chẵn có hai chữ số.
Câu 2.10: Tích của hai số là 93318. Tìm hai số đó, biết rằng nếu bớt thừa số thứ hai đi 29 đơn vị và giữ nguyên thừa số thứ nhất thì được tích mới kém tích đã cho là 13137.
Bài 3: Đi tìm kho báu
Câu 3.1: Một tuần có .......... phút.
Câu 3.2: Mỗi đội có 7 xe tải, mỗi xe chở 12 kiện hàng, mỗi kiện có 2 chiếc máy bơm. Hỏi đội xe đó chở tất cả bao nhiêu chiếc máy bơm?
Câu 3.3: Chuyến xe thứ nhất chuyển đi 1/4 số hàng trong kho, chuyến xe thứ hai chuyển đi 1/5 số hàng trong kho. Sau hai chuyến xe, số phần hàng còn lại trong kho là ................
Câu 3.4: Trong hai phân số sau 454545/515151 và 650650/910910, phân số lớn hơn là: ................
Câu 3.5: Hiệu hai phân số là 27/32. Nếu thêm vào phân số bé 5/24 và giữ nguyên phân số lớn thì được hiệu mới là bao nhiêu?
Đáp án đề thi Violympic Toán lớp 4 Vòng 16
Bài 1: Hãy điền số thích hợp vào chỗ chấm
Câu 1.1: 8977
Câu 1.2: 4
Câu 1.3: 60
Câu 1.4: 5
Câu 1.5: 2100
Câu 1.6: 2
Câu 1.7: 1
Câu 1.8: 9
Câu 1.9: 10
Câu 1.10: 4560
Bài 2: Đỉnh núi trí tuệ
Câu 2.1: 17/19
Câu 2.2: 203
Câu 2.3: 50
Câu 2.4: 7000
Câu 2.5: 10
Câu 2.6: 5; 11
Câu 2.7: 1115
Số dư lớn nhất có thể có trong phép chia là: 8
Số bị chia là: 123 x 9 + 8 = 1115
Câu 2.8: 105/120
Câu 2.9: 2430
Câu 2.10: 453; 206
Bài 3: Đi tìm kho báu
Câu 3.1: 10080
Câu 3.2: 168
Câu 3.3: 11/20
Câu 3.4: 454545/515151
Câu 3.5: 61/96