Giao diện mới của VnDoc Pro: Dễ sử dụng hơn - chỉ tập trung vào lớp bạn quan tâm. Vui lòng chọn lớp mà bạn quan tâm: Lưu và trải nghiệm
Đóng
Điểm danh hàng ngày
  • Hôm nay +3
  • Ngày 2 +3
  • Ngày 3 +3
  • Ngày 4 +3
  • Ngày 5 +3
  • Ngày 6 +3
  • Ngày 7 +5
Bạn đã điểm danh Hôm nay và nhận 3 điểm!
Nhắn tin Zalo VNDOC để nhận tư vấn mua gói Thành viên hoặc tải tài liệu Hotline hỗ trợ: 0936 120 169

Đề thi Violympic Toán lớp 7 vòng 11 năm 2015 - 2016

Loại File: PDF + Word
Phân loại: Tài liệu Tính phí

Đề thi Violympic Toán lớp 7 vòng 11

Đề thi Violympic Toán lớp 7 vòng 11 năm 2015 - 2016 là đề thi giải Toán qua mạng có đáp án đi kèm, hi vọng giúp các em học sinh ôn tập và củng cố kiến thức, nhằm đạt kết quả cao trong các vòng tiếp theo của cuộc thi Violympic giải Toán qua mạng năm học 2015 - 2016.

Đề thi Violympic Toán lớp 7 vòng 11 năm 2016 - 2017

Mời làm: Đề thi Violympic Toán lớp 7 vòng 11 năm 2015-2016 trực tuyến

Bài 1: Hãy điền số thích hợp vào chỗ chấm

Câu 1.1: Với n là số nguyên dương ta có (-1)2n + 1 = ..............

Câu 1.2: Số x thỏa mãn 3x + 1 = 9x là: x = ..............

Câu 1.3: Tìm x biết: (4/5).2x + 6 = 256/625

Câu 1.4: Cho hàm số: Đề thi violympic toán lớp 7 vòng 11 năm 2015 - 2016

Khi đó f(2) = ............

Câu 1.5: Số x thỏa mãn (-2,6).x + 4,3.x - 6,3 = -4,6 là x = ...............

Câu 1.6: Giá trị lớn nhất của biểu thức: B = 6x + 3 - I6x -4I là: ...............

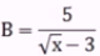
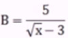
Câu 1.7: Giá trị lớn nhất của biểu thức Đề thi violympic toán lớp 7 vòng 11là: ................

Câu 1.8: Cho hàm số y = f(x) = x2 + 3. Giá trị của hàm số tại x = -2 là f(-2) = ...........

Hãy điền dấu >, <, = vào chỗ (.....)

Câu 1.9: Với n là số chẵn thì 2n ......... (-2)n

Câu 1.10: Với n là số lẻ thì 2n ........... (-2)n

Bài 2: Đi tìm kho báu

Câu 2.1: So sánh (-2/7)2014 và 0 ta được: (-2/7)2014 ......... 0. Điền dấu thích hợp vào chỗ chấm:

A. = B. > C. < D. Không so sánh được

Câu 2.2: Tính: 2.34 = ...............

A. 64 B. 38 C. 6.33 D. 36

Câu 2.3: Nếu ΔABC và ΔMNP có AB = MN, AC = NP, BC = MP thì ta viết:

A. ΔABC = ΔNPM B. ΔABC = ΔMNP

C. ΔABC = ΔNMP D. ΔABC = ΔMPN

Câu 2.4: Cho x là một số khác 0. Khi đó (x2)5 : (x5)2 = .............

A. x B. x5 C. x7 D. 1

Câu 2.5: Với x ≠ 0, giá trị nhỏ nhất của biểu thức A = x/IxI là Amin = ...........

A. 0 B. -1 C. Không xác định D. 1

Bài 3: Đỉnh núi trí tuệ

Câu 3.1: Tìm x biết (2x - 1)3 = 29

Câu 3.2: Tính: (3/7)21 : (9/49)10 = ...........

Câu 3.3: Tính: 3 - (-1/6)0 + (1/2)2 : 2 = ............

Câu 3.4: Tìm x biết: 5/x = -1/7

Câu 3.5: Tập hợp các giá trị nguyên của x thỏa mãn I3x - 4I = Ix + 2I là: {...........}

Câu 3.6: Tìm số tự nhiên có ba chữ số abc biết a : b : c = 1 : 3 : 2 và số đó chia hết cho 18.

Câu 3.7: Tìm ba số dương a, b, c biết: ab = c, bc = 4a; ac = 9b.

Câu 3.8: Cho góc xAy, phân giác Az. Trên tia Ax lấy điểm B sao cho AB = 5cm. Qua B kẻ đường song song với Ay, cắt Az tại C. Tính BC.

Câu 3.9: Tập hợp các giá trị của x để biểu thức Đề thi violympic toán lớp 7 vòng 11 năm 2015 - 2016 đạt giá trị nguyên là S = {..........}

Câu 3.10: Cho hai đại lượng I và II tỉ lệ nghịch với nhau và cùng có giá trị dương. Nếu giá trị của đại lượng I tăng 20% thì giá trị tương ứng của đại lượng II giảm đi ............%.

Đáp án đề thi Violympic Toán lớp 7 vòng 11

Bài 1: Hãy điền số thích hợp vào chỗ chấm

Câu 1.1: -1

Câu 1.2: 1

Câu 1.3: -1

Câu 1.4: 3

Câu 1.5: 1

Câu 1.6: 7

Câu 1.7: 3

Câu 1.8: 7

Câu 1.9: =

Câu 1.10: >

Bài 2: Đi tìm kho báu

Câu 2.1: B

Câu 2.2: C

Câu 2.3: C

Câu 2.4: D

Câu 2.5: B

Bài 3: Đỉnh núi trí tuệ

Câu 3.1: 9/2

Câu 3.2: 3/7

Câu 3.3: 17/8

Câu 3.4: -35

Câu 3.5: 3

Câu 3.6: 396

Câu 3.7: 3; 2; 6

Câu 3.8: 5

Câu 3.9: 4; 16; 64

Câu 3.10: 16,67

Chọn file muốn tải về:
Đóng Chỉ thành viên VnDoc PRO/PROPLUS tải được nội dung này!
Đóng
79.000 / tháng
Đặc quyền các gói Thành viên
PRO
Phổ biến nhất
PRO+
Tải tài liệu Cao cấp 1 Lớp
30 lượt tải tài liệu
Xem nội dung bài viết
Trải nghiệm Không quảng cáo
Làm bài trắc nghiệm không giới hạn
Mua cả năm Tiết kiệm tới 48%
Xác thực tài khoản!

Theo Nghị định 147/2024/ND-CP, bạn cần xác thực tài khoản trước khi sử dụng tính năng này. Chúng tôi sẽ gửi mã xác thực qua SMS hoặc Zalo tới số điện thoại mà bạn nhập dưới đây:

Số điện thoại chưa đúng định dạng!
Số điện thoại này đã được xác thực!
Bạn có thể dùng Sđt này đăng nhập tại đây!
Lỗi gửi SMS, liên hệ Admin
Sắp xếp theo
🖼️

Luyện thi

Xem thêm
🖼️

Gợi ý cho bạn

Xem thêm