Giao diện mới của VnDoc Pro: Dễ sử dụng hơn - chỉ tập trung vào lớp bạn quan tâm. Vui lòng chọn lớp mà bạn quan tâm: Lưu và trải nghiệm
Đóng
Điểm danh hàng ngày
  • Hôm nay +3
  • Ngày 2 +3
  • Ngày 3 +3
  • Ngày 4 +3
  • Ngày 5 +3
  • Ngày 6 +3
  • Ngày 7 +5
Bạn đã điểm danh Hôm nay và nhận 3 điểm!
Nhắn tin Zalo VNDOC để nhận tư vấn mua gói Thành viên hoặc tải tài liệu Hotline hỗ trợ: 0936 120 169

Đề thi Violympic Toán lớp 7 vòng 11 năm 2015 - 2016

Đóng
Bạn đã dùng hết 1 lần làm bài Trắc nghiệm miễn phí. Mời bạn mua tài khoản VnDoc PRO để tiếp tục! Tìm hiểu thêm
Mô tả thêm:

Đề thi giải Toán qua mạng lớp 7 có đáp án

Cuộc thi giải Toán trên mạng Violympic năm học 2015-2016 đang tiếp tục diễn ra với vòng thi cấp trường. Bạn đã tham gia thử sức với vòng thi mới nhất chưa? Làm ngay bài test Đề thi Violympic Toán lớp 7 vòng 11 năm 2015 - 2016 trên trang VnDoc.com để chinh phục vòng 11 của cuộc thi violympic dành cho lớp 7 nhé! Chúc các bạn thi tốt!

  • Thời gian làm: 60 phút
  • Số câu hỏi: 25 câu
  • Số điểm tối đa: 25 điểm
Bắt đầu làm bài
Bạn còn 1 lượt làm bài tập miễn phí. Hãy mua tài khoản VnDoc PRO để học không giới hạn nhé! Bạn đã HẾT lượt làm bài tập miễn phí! Hãy mua tài khoản VnDoc PRO để làm Trắc nghiệm không giới hạn và tải tài liệu nhanh nhé!
Mua ngay Đổi điểm
Trước khi làm bài bạn hãy
  • 1 Ôn tập kiến thức đã nêu trong phần Mô tả thêm
  • 2 Tìm không gian và thiết bị phù hợp để tập trung làm bài
  • 3 Chuẩn bị sẵn dụng cụ cần dùng khi làm bài như bút, nháp, máy tính
  • 4 Căn chỉnh thời gian làm từng câu một cách hợp lý
  • Câu 1: Nhận biết
    Bài 1: Hãy điền số thích hợp vào chỗ chấm Câu 1.1:
    Với n là số nguyên dương ta có (-1)2n + 1 = ..............-1
    Đáp án là:
    Bài 1: Hãy điền số thích hợp vào chỗ chấm Câu 1.1:
    Với n là số nguyên dương ta có (-1)2n + 1 = ..............-1
  • Câu 2: Nhận biết
    Câu 1.2: Số x thỏa mãn 3x + 1 = 9là: x = ..............1
    Đáp án là:
    Câu 1.2: Số x thỏa mãn 3x + 1 = 9là: x = ..............1
  • Câu 3: Nhận biết
    Câu 1.3: Tìm x biết: (4/5).2x + 6 = 256/625
    Trả lời:
    x = ...............-1
    Đáp án là:
    Câu 1.3: Tìm x biết: (4/5).2x + 6 = 256/625
    Trả lời:
    x = ...............-1
  • Câu 4: Nhận biết
    Câu 1.4: Cho hàm số: 
    Khi đó f(2) = ............3
    Đáp án là:
    Câu 1.4: Cho hàm số: 
    Khi đó f(2) = ............3
  • Câu 5: Nhận biết
    Câu 1.5: Số x thỏa mãn (-2,6).x + 4,3.x - 6,3 = -4,6 là x = ...............1
    Đáp án là:
    Câu 1.5: Số x thỏa mãn (-2,6).x + 4,3.x - 6,3 = -4,6 là x = ...............1
  • Câu 6: Nhận biết
    Câu 1.6: Giá trị lớn nhất của biểu thức: B = 6x + 3 - I6x -4I là: ...............7
    Đáp án là:
    Câu 1.6: Giá trị lớn nhất của biểu thức: B = 6x + 3 - I6x -4I là: ...............7
  • Câu 7: Nhận biết
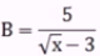
    Câu 1.7: Giá trị lớn nhất của biểu thức  là: ................3
    Đáp án là:
    Câu 1.7: Giá trị lớn nhất của biểu thức  là: ................3
  • Câu 8: Nhận biết
    Câu 1.8: Cho hàm số y = f(x) = x+ 3. Giá trị của hàm số tại x = -2 là f(-2) = ...........7
    Đáp án là:
    Câu 1.8: Cho hàm số y = f(x) = x+ 3. Giá trị của hàm số tại x = -2 là f(-2) = ...........7
  • Câu 9: Nhận biết
    Hãy điền dấu >, <, = vào chỗ (.....) Câu 1.9:
    Với n là số chẵn thì 2......... (-2)n=
    Đáp án là:
    Hãy điền dấu >, <, = vào chỗ (.....) Câu 1.9:
    Với n là số chẵn thì 2......... (-2)n=
  • Câu 10: Nhận biết
    Câu 1.10: Với n là số lẻ thì 2........... (-2)>
    Đáp án là:
    Câu 1.10: Với n là số lẻ thì 2........... (-2)>
  • Câu 11: Nhận biết

    Bài 2: Đi tìm kho báu

    Câu 2.1:
    So sánh (-2/7)2014 và 0 ta được: (-2/7)2014 ......... 0
    Điền dấu thích hợp vào chỗ chấm:
  • Câu 12: Nhận biết

    Câu 2.2:

    Tính: 2.3= ...............
  • Câu 13: Nhận biết

    Câu 2.3:

    Nếu ΔABC và ΔMNP có AB = MN, AC = NP, BC = MP thì ta viết:
  • Câu 14: Nhận biết

    Câu 2.4:

    Cho x là một số khác 0. Khi đó (x2): (x5)= .............
  • Câu 15: Nhận biết

    Câu 2.5:

    Với x ≠ 0, giá trị nhỏ nhất của biểu thức A = x/IxI là Amin = ...........
  • Câu 16: Nhận biết
    Bài 3: Đỉnh núi trí tuệ Câu 3.1:
    Tìm x biết (2x - 1)= 29
    Trả lời:
    x = ...........9/2
    Nhập kết quả dưới dạng phân số tối giản.
    Đáp án là:
    Bài 3: Đỉnh núi trí tuệ Câu 3.1:
    Tìm x biết (2x - 1)= 29
    Trả lời:
    x = ...........9/2
  • Câu 17: Nhận biết
    Câu 3.2: Tính: (3/7)21 : (9/49)10 = ...........3/7
    Nhập kết quả dưới dạng phân số tối giản.
    Đáp án là:
    Câu 3.2: Tính: (3/7)21 : (9/49)10 = ...........3/7
  • Câu 18: Nhận biết
    Câu 3.3: Tính: 3 - (-1/6)+ (1/2): 2 = ............17/8
    Nhập kết quả dưới dạng phân số tối giản.
    Đáp án là:
    Câu 3.3: Tính: 3 - (-1/6)+ (1/2): 2 = ............17/8
  • Câu 19: Nhận biết
    Câu 3.4: Tìm x biết: 5/x = -1/7
    Trả lời: x = ..............-35
    Đáp án là:
    Câu 3.4: Tìm x biết: 5/x = -1/7
    Trả lời: x = ..............-35
  • Câu 20: Nhận biết
    Câu 3.5: Tập hợp các giá trị nguyên của x thỏa mãn I3x - 4I = Ix + 2I là: {...........}3
    Nhập các phần tử theo giá trị tăng dần, ngăn cách nhau bởi dấu ";"
    Đáp án là:
    Câu 3.5: Tập hợp các giá trị nguyên của x thỏa mãn I3x - 4I = Ix + 2I là: {...........}3
  • Câu 21: Nhận biết
    Câu 3.6: Tìm số tự nhiên có ba chữ số abc biết a : b : c = 1 : 3 : 2 và số đó chia hết cho 18.
    Trả lời:
    Số cần tìm là: ............396
    Đáp án là:
    Câu 3.6: Tìm số tự nhiên có ba chữ số abc biết a : b : c = 1 : 3 : 2 và số đó chia hết cho 18.
    Trả lời:
    Số cần tìm là: ............396
  • Câu 22: Nhận biết
    Câu 3.7: Tìm ba số dương a, b, c biết: ab = c, bc = 4a; ac = 9b.
    Trả lời: 
    a = .......; b = ..........; c = ........3; 2; 6
    Nhập các giá trị theo thứ tự vào ô đáp án và dùng dấu ";" để ngăn cách giữa các số.
    Đáp án là:
    Câu 3.7: Tìm ba số dương a, b, c biết: ab = c, bc = 4a; ac = 9b.
    Trả lời: 
    a = .......; b = ..........; c = ........3; 2; 6
  • Câu 23: Nhận biết
    Câu 3.8: Cho góc xAy, phân giác Az. Trên tia Ax lấy điểm B sao cho AB = 5cm. Qua B kẻ đường song song với Ay, cắt Az tại C. Tính BC.
    Trả lời:
    BC = .......... cm.5
    Đáp án là:
    Câu 3.8: Cho góc xAy, phân giác Az. Trên tia Ax lấy điểm B sao cho AB = 5cm. Qua B kẻ đường song song với Ay, cắt Az tại C. Tính BC.
    Trả lời:
    BC = .......... cm.5
  • Câu 24: Nhận biết
    Câu 3.9: Tập hợp các giá trị của x để biểu thức  đạt giá trị nguyên là S = {..........}4; 16; 64
    Nhập các giá trị theo thứ tự tăng dần, ngăn cách nhau bởi dấu ";"
    Đáp án là:
    Câu 3.9: Tập hợp các giá trị của x để biểu thức  đạt giá trị nguyên là S = {..........}4; 16; 64
  • Câu 25: Nhận biết
    Câu 3.10: Cho hai đại lượng I và II tỉ lệ nghịch với nhau và cùng có giá trị dương. Nếu giá trị của đại lượng I tăng 20% thì giá trị tương ứng của đại lượng II giảm đi ............%.16,67
    Nhập kết quả dưới dạng số thập phân, làm tròn đến hai chữ số ở phần thập phân.
    Đáp án là:
    Câu 3.10: Cho hai đại lượng I và II tỉ lệ nghịch với nhau và cùng có giá trị dương. Nếu giá trị của đại lượng I tăng 20% thì giá trị tương ứng của đại lượng II giảm đi ............%.16,67

Chúc mừng Bạn đã hoàn thành bài!

Đề thi Violympic Toán lớp 7 vòng 11 năm 2015 - 2016 Kết quả
  • Thời gian làm bài: 00:00:00
  • Số câu đã làm: 0
  • Điểm tạm tính: 0
  • Điểm thưởng: 0
Tải file làm trên giấy

Đấu trường Đề thi Violympic Toán lớp 7 vòng 11 năm 2015 - 2016

Đang tìm đối thủ...

Đang tải...

Xác thực tài khoản!

Theo Nghị định 147/2024/ND-CP, bạn cần xác thực tài khoản trước khi sử dụng tính năng này. Chúng tôi sẽ gửi mã xác thực qua SMS hoặc Zalo tới số điện thoại mà bạn nhập dưới đây:

Số điện thoại chưa đúng định dạng!
Số điện thoại này đã được xác thực!
Bạn có thể dùng Sđt này đăng nhập tại đây!
Lỗi gửi SMS, liên hệ Admin
Sắp xếp theo