Định luật bảo toàn năng lượng
Định luật bảo toàn năng lượng là một trong các định luật quan trọng trong bộ môn Vật Lý 10. Trong bài viết này VnDoc sẽ chia sẻ cho các bạn định nghĩa định luật bảo toàn năng lượng, công thức tính định luật bảo toàn năng lượng.
Tìm hiểu về định luật bảo toàn năng lượng
1. Định nghĩa định luật bảo toàn năng lượng
Định luật bảo toàn và chuyển hóa năng lượng
Năng lượng không tự nhiên sinh ra cũng không tự nhiên mất đi mà nó chỉ chuyển hóa từ dạng này sang dạng khác hoặc từ vật này sang vật khác. Đây được coi là định luật cơ bản của vật lý học.
Ví dụ:
Nếu thả một hòn bi từ trên cao xuống một cái chén thì năng lượng của hòn bi là thế năng hấp dẫn, rơi vào chén và chuyển động quanh thành chén là động năng, đồng thời phát ra tiếng động là âm năng. Ngoài ra bi còn ma sát với thành chén tạo ra nhiệt năng, vậy ta có thể thấy từ một dạng năng lượng là thế năng đã chuyển hóa thành ba dạng năng lượng như đã nêu ở trên.
2. Bảo toàn năng lượng trong dao động cơ
Năng lượng trong dao động cơ được gọi là cơ năng. Cơ năng bằng tổng động năng và thế năng. Trong một hệ kín cơ năng không đổi.
2.1. Khái niệm động năng
Động năng của một vật là năng lượng có được từ chuyển động của vật đó. Nó được định nghĩa là công cần thực hiện để gia tốc một vật với khối lượng cho trước từ trạng thái nghỉ tới vận tốc hiện thời của vật .
Động năng của một vật rơi tự do được tính bằng công thức:
\(Wđ=\frac{1}{2} m.v^{2}\)
Trong đó:
- Wđ: động năng của vật (J)
- m: khối lượng của vật (g)
- v: vận tốc của vật (m/s)
2.2. Khái niệm thế năng
Thế năng là một đại lượng vật lý đặc trưng cho khả năng sinh công của vật. Thế năng của một vật rơi tự do được tính bằng công thức:
Wt = mgh
Trong đó:
- Wt: Thế năng của vật (J)
- m: Trọng lượng của vật (g)
- h: Độ cao của vật khi rơi tự do (m)
3. Biểu thức bảo toàn cơ năng
Định luật bảo toàn cơ năng: Khi một vật chuyển động trong trọng trường chỉ chịu tác dụng của trọng lực thì cơ năng của vật là một đại lượng bảo toàn.
W = Wđ + Wt = const (hằng số)
W = 1/2 mv2 + mgh
W = Wđ1 + Wt1 = Wđ2 + Wt1= 1/2mv12 + mgh1 + 1/2mv22 + mgh2
Trong đó:
- Wđ1: Động năng của vật ở vị trí có vận tốc v1
- Wđ2: Động năng của vật ở vị trí có vận tốc v2
- Wt1: Thế năng của vật ở độ cao h1
- Wt2: Thế năng của vật ở độ cao h2
Dựa vào biểu thức trên ta có thể thấy rằng:
Một vật khi rơi tự do, tại thời điểm thế năng cực đại thì động năng bằng 0. Động năng cực đại thì thế năng bằng 0. Động năng tăng thì thế năng giảm. Động năng giảm thì thế năng tăng, nhưng tổng động năng và thế năng là một đại lượng không đổi.
4. Các công thức liên quan định luật bảo toàn năng lượng
4.1. Công thức tính Công
A = F.s.cosα
A là công của lực F (J)
+ F là lực tác dụng vào vật (N)
+ s quãng đường vật dịch chuyển (m)
+ Đơn vị của công là Jun, (kí hiệu là J).
1J = 1N.1m = 1Nm
Bội số của Jun là kilojun (kí hiệu là kJ), 1kJ = 1000J
(Chỉ áp dụng cho trường hợp lực không thay đổi và quỹ đạo thẳng)
4.2. Công suất trung bình
\(P=\frac{A}{t}\)
Trong đó:
P: công suất (Jun/giây(J/s) hoặc Oát (W))
A: công thực hiện (N.m hoặc J)
t: thời gian thực hiện công (s)
Đơn vị: Oát (W)
1KW = 1000W; 1MW = 1.000.000W
4.3. Công suất tức thời

4.4. Các biểu thức liên hệ
- Động năng:
\(Wđ=\frac{1}{2} m.v^{2}\)
Liên hệ giữa động năng và công
ΔWđ = Wđ2 –Wđ1 = Ap
(Công của ngoại lực F)
- Thế năng trọng trường:
Wt = mgz
Liên hệ giữa thế năng trọng trường và công:
ΔWt = Wt1 – Wt2=Ap
Công của trọng lực(rơi):
Ap = mgh
(Khi vật đi lên thì thêm dấu “-“)
Thế năng đàn hồi
Wt=
\(\frac{1}{2}\)kx2
Liên hệ giữa thế năng đàn hồi và công:
–ΔWt = Wt1 – Wt2= AFdh
Cơ năng:
W = Wt+ Wđ
Định luật bảo toàn cơ năng:
Wđ1 + Wt1 = Wt2 + Wđ2
(Cơ năng chỉ bảo toàn khi không có ngoại lực khống chế)
Độ cao động năng bằng n lần thế năng:
h=
\(\frac{ho}{n+1}\)
(Nếu thế năng bằng m lần động năng thì thay n=1/m , chỉ áp dụng khi làm bài trắc nghiệm hoặc kiểm tra kết quả)
Hiệu suất:
H=
\(\frac{Aci}{Atp}\)
Aci: Công có ích
Atp: Công toàn phần
5. Bài tập minh họa định luật bảo toàn năng lượng
Ví dụ 1: Một vật có m = 10 gam, rơi tự do tại độ cao 5m, vận tốc rơi 13km/h. Tìm cơ năng biết g= 9.8m/s2.
Hướng dẫn giải chi tiết
Áp dụng công thức
W = Wđ+ Wt = mv2 + mgh = 554,8J
Ví dụ 2: Một vật được ném thẳng đứng lên cao với vận tốc là 10 m/s từ độ cao h so với mặt đất. Khi chạm đất vận tốc của vật là 20 m/s, bỏ qua sức cản không khí. Lấy g = 10 m/s2. Hãy tính độ cao h.
Hướng dẫn giải chi tiết

Chọn góc thế năng tại mặt đất (tại N).
Cơ năng tại O (tại vị trí ném vật):
\(W(O)=\frac{1}{2} m.v^{2} + mgh\)
Cơ năng tại N (tại mặt đất):
\(W(N)=\frac{1}{2} m.v^{2}\)
Theo định luật bảo toàn cơ năng: W (O) = W (N).
\(\frac{1}{2} m.v^{2}_{o} + mgh =\frac{1}{2} mv^{2}\)
\(h=\frac{v^{2}-v^{2}_{o} }{2g} =\frac{20^{2}-10^{2} }{2.10} =15 m\)
Ví dụ 3. Một hòn bi có khối lượng 15 gam được ném thẳng đứng lên cao với vận tốc 4m/s từ độ cao 1,4m so với mặt đất. Tính trong hệ quy chiếu mặt đất các giá trị động năng, thế năng và cơ năng của hòn bi tại lúc ném vật.
Hướng dẫn giải chi tiết
Chọn gốc thế năng tại mặt đất ta có
Động năng tại lúc ném vật:
\(Wđ=\frac{1}{2} m.v^{2}\)
J
Thế năng tại lúc ném vật: Wt = mgh = 15/1000.10.1,4 = 0,21 J.
Cơ năng của hòn bi tại lúc ném vật:
W = Wđ + Wt = 0,12 + 0,21 = 0,33J.
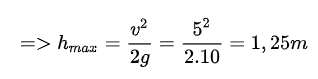
Ví dụ 4: Một vật được ném thẳng đứng lên cao với vận tốc 5 m/s. Lấy g = 10 m/s2. Tính độ cao cực đại của nó.
Hướng dẫn giải chi tiết
Khi vật lên đến độc cao cực đại thì vận tốc sẽ bằng 0 dó đó: v = 0.
Áp dụng định luật bảo toàn cơ năng cho 2 vị trí bắt đâu ném vật và độ cao cực đại:
W1 = W2 ⇔ Wđ1 + Wt1 = Wđ2 + Wt2.


--------------------------------------------------