Đường trung tuyến là gì? Tính chất đường trung tuyến
Đường trung tuyến trong tam giác là gì? Nó có những tính chất nào? Đây là một phần kiến thức quan trọng trong môn Hình học mà học sinh cần phải ghi nhớ để có thể vận dụng làm các bài tập về đường trung tuyến. Trong Hình học 7, các em học sinh được học về Tính chất ba đường trung tuyến của tam giác. Để giúp các em ghi nhớ kiến thức về phần này, mời các em tham khảo tài liệu do VnDoc sưu tầm và tổng hợp dưới đây.
Để tiện trao đổi, chia sẻ kinh nghiệm về giảng dạy và học tập các môn học lớp 7, VnDoc mời các thầy cô giáo, các bậc phụ huynh và các bạn học sinh truy cập nhóm riêng dành cho lớp 7 sau: Nhóm Tài liệu học tập lớp 7. Rất mong nhận được sự ủng hộ của các thầy cô và các bạn.
Ôn tập Hình học 7: Tính chất đường trung tuyến trong tam giác
Đường trung tuyến là gì?
Đường trung tuyến là một đường thẳng đi qua trung điểm của đường thẳng đó. Trung điểm là điểm chia đoạn thẳng thành 2 phần bẳng nhau.
Đường trung tuyến trong tam giác
Đường trung tuyến của một tam giác là đoạn thẳng nối từ đỉnh của tam giác tới trung điểm của cạnh đối diện trong hình học phẳng. Mỗi tam giác có 3 đường trung tuyến.
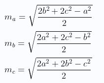
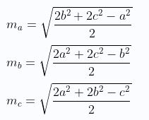
Công thức tính đường trung tuyến
Cho a, b, c là độ dài 3 cạnh của tam giác, ta có thể tính độ dài 3 đường trung tuyến bằng định lý định lý Apollonius như sau:

Tính chất đường trung tuyến
- Ba đường trung tuyến của một tam giác cùng đồng quy tại một điểm, điểm này được gọi là trọng tâm của tam giác.
- Khoảng cách từ trọng tâm đến mỗi đỉnh của tam giác bằng ⅔ đường trung tuyến tương ứng với đỉnh đó.
- Khoảng cách từ trọng tâm đến trung điểm của mỗi cạnh bằng ⅓ đường trung tuyến tương ứng với điểm đó.
- G là trọng tâm tam giác ABC thì và D, E, F là trung điểm cách cạnh BC, AC và AB

\(\frac{AG}{AD}=\frac{BG}{BE}=\frac{CG}{CF}\ =\ \frac{2}{3}\)
Đường trung tuyến trong tam giác vuông
Tam giác vuông là một trường hợp đặc biệt của tam giác, trong đó, tam giác sẽ có một góc có độ lớn là 90 độ, và hai cạnh tạo thành góc này vuông góc với nhau.
Do đó, đường trung tuyến của tam giác vuông sẽ có đầy đủ những tính chất của một đường trung tuyến tam giác.
Trong một tam giác vuông, đường trung tuyến ứng với cạnh huyền bằng nửa cạnh huyền.
Một tam giác có trung tuyến ứng với một cạnh bằng nửa cạnh đó thì tam giác ấy là tam giác vuông.
.................................
Trên đây, VnDoc đã giới thiệu tới các em tài liệu Đường trung tuyến là gì? Tính chất đường trung tuyến. Ngoài ra, mời các bạn tham khảo thêm: Giải bài tập Toán lớp 7, Giải Vở BT Toán 7, Đề thi học kì 1 lớp 7, Đề thi giữa kì 1 lớp 7, Đề thi học kì 2 lớp 7... được cập nhật liên tục trên VnDoc.com để học tốt môn Toán hơn.