Giải bài tập SGK Tin học 8 bài 3
Giải bài tập SGK Tin học 8 bài 3: Chương trình máy tính và dữ liệu
Giải bài tập SGK Tin học 8 bài 3: Chương trình máy tính và dữ liệu được VnDoc sưu tầm và đăng tải, tổng hợp các câu hỏi trong sách giáo khoa nằm trong chương trình giảng dạy môn Tin học lớp 8. Hi vọng rằng đây sẽ là những tài liệu hữu ích trong công tác giảng dạy và học tập của quý thầy cô và các bạn học sinh. Mời các quý thầy cô và các bạn cùng tham khảo
Đề thi học kì 1 môn Sinh học lớp 8 Phòng GD&ĐT Duyên Hải năm học 2017 - 2018
Bài 1 (trang 24 sgk Tin học lớp 8): Hãy nêu ít nhất hai kiểu dữ liệu và một phép toán có thể thực hiện được trên một kiểu dữ liệu, nhưng phép toán đó không có nghĩa trên kiểu dữ liệu kia.
Trả lời:
- Hai kiểu dữ liệu là: Integer (số nguyên), String (xâu kí tự).
- Phép toán: (3*4)+(5*6)*(123-2123) chỉ thực hiện được trên kiểu dữ liệu Integer và không thực hiện đươc trên kiểu dữ liệu String
Bài 2 (trang 24 sgk Tin học lớp 8): Dãy chữ số 2017 có thể thuộc những kiểu dữ liệu nào?
Trả lời:
- Dãy chữ số 2017 có thể thuộc kiểu dữ liệu: Integer (số nguyên), ), real (số thực), String (xâu kí tự).
Bài 3 (trang 24 sgk Tin học lớp 8): Cho hai xâu kí tự "Lớp" và "8A". Hãy thử định nghĩa một "phép toán" có thể thực hiện được trên hai xâu kí tự đó.
Trả lời:
- Ta có thể định nghĩa một "phép toán" có thể thực hiện đươc trên hai xâu kí tự đó. Ví dụ như:
Phép đếm: Đếm số kí tự có trong "Lớp" và "8A".
Phép chuyển đổi: Chuyển đổi chữ thường thành chữ hoa và ngược lại: "Lớp" thành "lỚP", "8A" thành "8a".
Phép ghép: Ghép hai xâu kí tự "Lớp" và "8A" thành "Lớp 8A".
Bài 4 (trang 25 sgk Tin học lớp 8): Hãy phân biệt ý nghĩa của các câu lệnh Pascal sau đây:
Writeln('5+20=' , '20+5') ; và Writeln('5+20=' , 20+5);
Hai lệnh sau có tương đương với nhau không? Tại sao?
Writeln('100'); và Writeln(100);
Trả lời:
- Writeln('5+20=' , '20+5'); thì sẽ cho ra kết quả trả về thuộc kiểu dữ liệu xâu kí tự: 5+20= 20+5
- Writeln('5+20=' , 20+5); thì sẽ cho ra kết quả là một số bởi một phép tính toán: 5+20= 25
- Hai lệnh sau Writeln('100'); và Writeln(100); sẽ cho ra cùng một kết quả là 100. Nhưng kiểu dữ liệu của hai lệnh lại không tương đương nhau, một lệnh là kiểu dữ liệu xâu kí tự, một lệnh thuộc kiểu dữ liệu số nguyên.
Bài 5 (trang 25 sgk Tin học lớp 8): Viết các biểu thức toán dưới đây với các ký hiệu trong Pascal:
a) b) ax2 + bx + c;
c) d) (ax2 + b)(1+c)3
Trả lời:
a) (a/b) + (c/d).
b) a*x*x +b*x+c
c) (1/x)-(a/5)*(b+2)
d) (a*a+b)*(1+c)*(1+c)*(1+c)
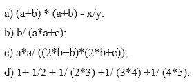
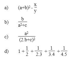
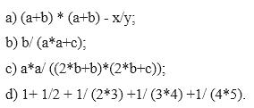
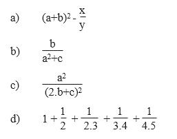
Bài 6 (trang 25 sgk Tin học lớp 8): Chuyển các biểu thức được viết trong Pascal sau đây thành các biểu thức toán:

Trả lời:

Bài 7 (trang 25 sgk Tin học lớp 8): Hãy xác định kết quả của các phép so sánh sau đây:
Trả lời:
a) Đúng.
b) Sai.
c) Đúng.
d) Đúng khi x > 3 và ngược lại.
Bài 8 (trang 25 sgk Tin học lớp 8): Viết các biểu thức ở bài tập 7 theo quy ước của Pascal.
Trả lời:
a) (15-8)>=3;
b) (20-15)*(20-15) <> 25;
c) 11*11 = 121;
d) x > 10 – 3*x;
Tìm hiểu mở rộng (trang 25 sgk Tin học lớp 8): Khi học môn Toán em đã quen thuộc với các số nguyên, số thực cùng với các phép toán số học và phép so sánh trên tập hợp các số đó. Phép toán cộng và phép so sánh cũng có thể định nghĩa và có ý nghĩa trên tập hợp các kí tự và xâu kí tự. Em hãy tìm hiểu nhé.
Trả lời:
1. Phép cộng xâu:
Ví dụ:
st1:='Le';
st2:='Thanh';
St=st1 + st2;
=> KQ: 'Le Thanh'
2. Phép so sánh:
Hai xâu ký tự có thể so sánh với nhau bằng các phép so sánh =, >, <…
Nguyên tắc so sánh thực hiện như sau, chúng sẽ đem từng ký tự tương ứng với nhau để so sánh, xâu nào có ký tự có số thứ tự trong bảng mã ASCII lớn hơn thì xâu đó lớn hơn.
Hai xâu ký tự được gọi là bằng nhau khi chúng hoàn toàn giống nhau (có độ dài như nhau).
Ví dụ: 'FILENAME' = 'FILENAME '