Giải bài tập SGK Tin học 8 bài 11
Giải bài tập SGK Tin học 8 bài 11: Giải toán và vẽ hình phẳng với GeoGebra
Giải bài tập SGK Tin học 8 bài 11: Giải toán và vẽ hình phẳng với GeoGebra được VnDoc sưu tầm và đăng tải, tổng hợp các câu hỏi trong sách giáo khoa nằm trong chương trình giảng dạy môn Tin học lớp 8. Hi vọng rằng đây sẽ là những tài liệu hữu ích trong công tác giảng dạy và học tập của quý thầy cô và các bạn học sinh. Mời các quý thầy cô và các bạn cùng tham khảo
Bài 1 (trang 101 sgk Tin học lớp 8): Tính
a) 15 + 25 + 35 + … + 105
b) (x-y)(x3 + xy + y3)
Trả lời:
Mở phần mềm GeogeBra, chọn mục hiện thị CAS như trong hình để vào phần tính toán.


Bài 2 (trang 101 sgk Tin học lớp 8): Phân tích các đa thức sau thành nhân tử:
a) x3y2 + x2y3 + x2y + xy2 + x3 + y3 + x + y
b) x3 + 2x2y + xy2 – 9x
Trả lời:
Mở phần mềm GeogeBra, chọn mục hiện thị CAS như trong hình để vào phần tính toán.

Để phân tích thành nhân tử ta chọn thừa số như trong hình rồi nhập dữ liệu vào:

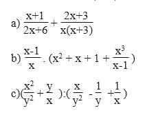
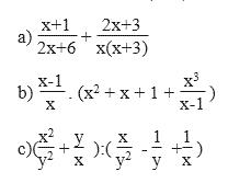
Bài 3 (trang 102 sgk Tin học lớp 8): Tính

Trả lời:
Mở phần mềm GeogeBra, chọn mục hiện thị CAS như trong hình để vào phần tính toán.

Để tính toán ta chọn dấu = như trong hình rồi nhập dữ liệu vào:

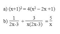
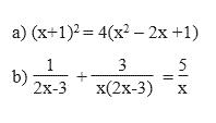
Bài 4 (trang 102 sgk Tin học lớp 8): Giải các phương trình sau:

Trả lời:
Mở phần mềm GeogeBra, chọn mục hiện thị CAS như trong hình để vào phần tính toán.


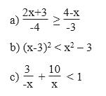
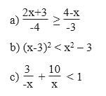
Bài 5 (trang 102 sgk Tin học lớp 8): Giải các bất phương trình sau…

Trả lời:
Mở phần mềm GeogeBra, chọn mục hiện thị CAS như trong hình để vào phần tính toán.


Bài 6 (trang 102 sgk Tin học lớp 8): Vẽ tam giác, tứ giác.
Trả lời:
Mở phần mềm GeogeBra, chọn mục hiện thị Hình học để vào phần vẽ hình:

Sử dụng công cụ đoạn thẳng để vẽ các tam giác, tứ giác
