Giải SBT Khoa học tự nhiên 9 Cánh diều bài 31
VnDoc xin giới thiệu bài Giải SBT Khoa học tự nhiên 9 Cánh diều bài 31: Ứng dụng một số tài nguyên trong vỏ Trái Đất hướng dẫn trả lời câu hỏi trong sách bài tập Khoa học tự nhiên 9 Cánh diều, giúp các em học sinh củng cố kiến thức được học môn KHTN 9.
Bài: Ứng dụng một số tài nguyên trong vỏ Trái Đất
Bài 31.1 trang 73 Sách bài tập KHTN 9: Công nghiệp silicate là
A. ngành sản xuất thủy tinh, đồ gốm (gạch, ngói, sành, sứ) và xi măng từ nguyên liệu chính gồm các hợp chất của silicon trong tự nhiên.
B. ngành sản xuất thủy tinh, đồ gốm (gạch, ngói, sành, sứ) và xi măng từ nguyên liệu chính gồm các hợp chất silicate trong tự nhiên.
C. ngành sản xuất thủy tinh, đồ gốm (gạch, ngói, sành, sứ) và xi măng từ nguyên liệu chính gồm đất sét và cát trong tự nhiên.
D. Ngành sản xuất thủy tinh, đồ gốm và xi măng từ nguyên liệu chính gồm các khoáng vật có trong tự nhiên.
Lời giải:
Đáp án đúng là: A
Công nghiệp silicate là ngành sản xuất thuỷ tinh, đồ gốm (gạch, ngói, sành, sứ) và xi măng từ nguyên liệu chính gồm các hợp chất của silicon trong tự nhiên.
Bài 31.2 trang 74 Sách bài tập KHTN 9: Phát biểu nào sau đây là không đúng về sản xuất thuỷ tinh?
A. Nguyên liệu chính để sản xuất thủy tinh là thạch anh, cát trắng, đá vôi, soda.
B. Hỗn hợp nguyên liệu được nung chảy ở nhiệt độ cao.
C. Sau khi làm nguội, thủy tinh được tạo hình.
D. Thêm các chất phụ gia khác nhau vào nguyên liệu có thể tạo ra các loại thuỷ tinh khác nhau.
Lời giải:
Đáp án đúng là: C
Kết hợp quá trình làm nguội thủy tinh lỏng với quá trình tạo hình cho sản phẩm.
Bài 31.3 trang 74 Sách bài tập KHTN 9: Phát biểu nào sau đây là không đúng về sản xuất gạch và ngói?
A. Nguyên liệu chính để sản xuất đồ gốm là đất sét, nước.
B. Trong nguyên liệu sản xuất gạch và ngói, có thể có cát hoặc không có cát.
C. Hỗn hợp nguyên liệu được nghiền, phối trộn thành khối dẻo, tạo hình cho sản phẩm thô, sấy khô để tạo sản phẩm thô có màu đỏ gạch.
D. Sau sấy khô, sản phẩm thô được nung ở nhiệt độ cao.
Lời giải:
Đáp án đúng là: C
Nghiền, phối trộn hỗn hợp nguyên liệu thành khối dẻo, tạo hình cho sản phẩm thô, sấy khô.
Bài 31.4 trang 74 Sách bài tập KHTN 9: Phát biểu nào sau đây là không đúng về sản xuất sứ?
A. Nguyên liệu chính để sản xuất sứ là đất sét trắng, cát trắng, nước, một số hợp chất của kim loại.
B. Quá trình sản xuất sứ có hai lần nung.
C. Màu sắc của sứ là kết quả của quá trình trang trí, tráng men.
D. Quá trình tạo hình cho sản phẩm sứ được thực hiện sau lần nung thứ nhất.
Lời giải:
Đáp án đúng là: D
Quá trình tạo hình cho sản phẩm sứ thô được thực hiện sau khi nghiền, phối trộn hỗn hợp nguyên liệu thành khối dẻo.
Bài 31.5 trang 74 Sách bài tập KHTN 9: Phát biểu nào sau đây là không đúng về sản xuất xi măng?
A. Nguyên liệu chính đế sản xuất xi măng là đất sét có hàm lượng silicon cao, đá vôi.
B. Nghiền, phối trộn hồn hợp đất sét, đá vôi,... rồi nung ở nhiệt độ cao, để nguội thu được hỗn hợp rắn gọi là clinker.
C. Thêm chất phụ gia và nước vào clinker trộn, nghiền thu được xi măng.
D. Sản phẩm xi măng cần được bảo quản ngay trong bao bì chống ẩm.
Lời giải:
Đáp án đúng là: C
Thêm chất phụ gia vào clinker trộn, nghiền thu được xi măng.
Bài 31.6 trang 74 Sách bài tập KHTN 9: Viết các phương trình hoá học để hoàn thành mỗi chuỗi phản ứng sau:
a) Đá vôi
\(\overset{(1)}{\rightarrow}\) vôi sống
\(\overset{(2)}{\rightarrow}\) vôi tôi
b) CaCO3
\(\overset{(1)}{\rightarrow}\) CaCl2
\(\overset{(2)}{\rightarrow}\) Ca.
Lời giải:
a)
(1) CaCO3
\(\overset{to}{\rightarrow}\)CaO+CO2
(2) CaO + H2O → Ca(OH)2
b)
(1) CaCO3 + 2HCl → CaCl2 + H2O + CO2
(2) CaCl2
\(\overset{đpnc}{\rightarrow}\)Ca+Cl2
Bài 31.7 trang 75 Sách bài tập KHTN 9: Bột calcium carbonate hoặc bột calcium oxide đều có thể được sử dụng để điều chỉnh pH của đất.
a) Vì sao hai chất trên có khả năng điều chỉnh pH của đất?
b) Nêu hai ưu điểm của calcium carbonate so với calcium oxide khi sử dụng để điều chỉnh pH của đất.
c) Phản ứng của calcium carbonate với ion H+ trong đất có thể được mô tả như sau:
CaCO3 + 2H+ → Ca2+ + H2O + CO2↑
Tính khối lượng bột calcium carbonate (kg) cần để chuyển hoá 500 mol H+ có trong một khu đất.
d) Sau quá trình điều chỉnh pH của đất bằng calcium carbonate thì đất cũng trở nên ẩm và tơi xốp hơn. Vì sao?
Lời giải:
a) CaCO3, CaO đều phản ứng được với acid trong đất, làm giảm nồng độ acid trong đất. Từ đó, làm thay đổi pH của đất.
b) CaCO3 phản ứng chậm với acid trong đất nên không làm thay đổi đột ngột pH của đất; CaCO3 có giá thành thấp hơn CaO (trong khi CaO kết hợp với nước trong đất sẽ làm đất nóng lên).
c) Phản ứng của calcium carbonate với ion H+ trong đất có thể được mô tả như sau:
CaCO3 + 2H+ → Ca2+ + H2O + CO2↑
![]()
d) Phản ứng tạo ra H2O làm cho đất ẩm hơn và khí CO2 làm cho đất tơi xốp hơn.
Bài 31.8 trang 75 Sách bài tập KHTN 9: Có thể cho trực tiếp calcium oxide vào ao nuôi cá để điều chỉnh pH của nước trong ao không? Vì sao?
Lời giải:
Không nên, vì phản ứng giữa CaO và nước là phản ứng toả nhiều nhiệt, ảnh hưởng đến hệ sinh thái trong nước.
Bài 31.9 trang 75 Sách bài tập KHTN 9: Bột calcium carbonate tinh khiết dùng làm thuốc được sản xuất từ phản ứng của CO2 với dung dịch calcium hydroxide:
Ca(OH)2 + CO2 → CaCO3 + H2O.
a) Hiện tượng quan sát được khi phản ứng trên diễn ra là gì? Làm thế nào để thu được calcium carbonate tinh khiết từ quá trình trên.
b) Tính lượng calcium carbonate thu được khi CO2 phản ứng vừa đủ với 1 m3 dung dịch Ca(OH)2 0,021 M ở 20°C theo phản ứng trên.
c) Tìm hiểu và cho biết vai trò của CaCO3 trong một số loại thuốc chứa chất này.
Lời giải:
a) Lọc và rửa CaCO3 nhiều lần bằng nước, sấy khô.
b) nCaCO3=nCa(OH)2=0,021.1000=21(mol)
mCaCO3=MCaCO3.nCaCO3=100.21=2100(g)=2,1(kg).
c) CaCO3 trong một số loại thuốc nhằm cung cấp nguyên tố calcium cho cơ thể hoặc giúp làm giảm nồng độ acid trong trường hợp dạ dày có triệu chứng dư acid.
Bài 31.10 trang 75 Sách bài tập KHTN 9: Trong nước biển có lượng đáng kể các muối của nguyên tố magnesium như magnesium chloride (MgCl2), magnesium sulfate (MgSO4),... Nước biển là một nguồn quan trọng cung cấp kim loại magnesium cho con người. Để thực hiện được điều đó, người ta cho nước biển phản ứng với nước vôi trong (dung dịch calcium hydroxide) đổ thu chất kết tủa A. Hoà tan kết tủa A bởi dung dịch hydrochloric acid. Cô cạn dung dịch sau phản ứng thu được muối B. Từ muối B, chọn phương pháp phù hợp để tách được kim loại magnesium.
Viết các phương trình hoá học minh hoạ quá trình trên.
Lời giải:
MgCl2 + Ca(OH)2 → Mg(OH)2↓ + CaCl2
MgSO4 + Ca(OH)2 → Mg(OH)2↓ + CaSO4
Mg(OH)2 + 2HCl → MgCl2 + 2H2O
MgCl2
\(\overset{đpnc}{\rightarrow}\) Mg+Cl2
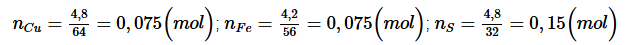
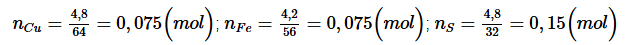
Bài 31.11 trang 75 Sách bài tập KHTN 9: Có khoáng vật được đặt tên là chalcopyrite. Khi phân tích 13,80 gam một mẫu chalcopyrite thì thấy có chứa 4,80 gam nguyên tố đồng; 4,20 gam nguyên tố sắt; còn lại là khối lượng của nguyên tố lưu huỳnh.
a) Tính và điền số liệu theo mẫu bảng sau từ kết quả phân tích trên.

b) Nguyên tố đồng còn tồn tại ở dạng hợp chất Cu2CO3(OH)2 tạo nên khoáng vật malachite. Khoáng vật chalcopyrite tinh khiết hay khoáng vật malachite tinh khiết giàu nguyên tố đồng hơn?
Lời giải:
a) mS = mmẫu – mCu – mFe = 13,8 – 4,8 – 4,2 = 4,8 (g)
![]()
nCu : nFe : nS = 0,075 : 0,075 : 0,15 = 1 : 1 : 2. Từ đó, đề xuất công thức khoáng vật là CuFeS2.
b) Trong hợp chất CuFeS2 (khoáng vật chalcopyrite) có:
![]()
Trong hợp chất Cu2CO3(OH)2 (khoáng vật malachite) có:

Từ kết quả trên, ta thấy khoáng vật malachite tinh khiết giàu nguyên tố đồng hơn.
Bài 31.12 trang 76 Sách bài tập KHTN 9: Vì sao gạch và ngói có màu “đỏ gạch”?
Lời giải:
Trong đất sét có một số hợp chất của sắt. Khi nung gạch, ngói thô, nhiều hợp chất của sắt biến thành các oxide của sắt (Fe2O3, FeO.Fe2O3 hay Fe3O4) làm cho gạch ngói thường có màu “đỏ gạch”.