Vở bài tập Địa lý lớp 5 bài 24 Châu Phi (tiếp theo)
Vở bài tập Địa lý lớp 5 bài 24
Giải Vở bài tập Địa lý 5 bài 24: Châu Phi (tiếp theo) hướng dẫn chi tiết cách giải cho từng bài tập VBT Địa lý 5 trang 48, 49 giúp các em học sinh nắm chắc các kiến thức môn địa lý 5 trong chương trình học kì 2. Mời các em học sinh cùng tham khảo chi tiết.
>> Bài trước: Giải Vở bài tập Địa lý 5 bài 23: Châu Phi
Hướng dẫn giải Vở bài tập Địa lí lớp 5 bài 24 bao gồm 6 câu hỏi. Mỗi câu hỏi có đáp án và gợi ý giải chi tiết. Các em học sinh so sánh đối chiếu với lời giải của mình nhé.
Câu 1 trang 48 Vở bài tập Địa lí 5
Đánh dấu × vào ô ☐ trước ý em cho là đúng.
Hơn 2/3 dân số châu Phi là:
☐ Người da đen
☐ Người da trắng
☐ Người da vàng
Trả lời:
☒ Người da đen
Câu 2 trang 48 Vở bài tập Địa lí 5
Kể tên các ngành kinh tế được tập trung phát triển ở Châu Phi.
Trả lời
Các ngành kinh tế được tập trung phát triển ở Châu Phi là:
- Khai thác khoáng sản (vàng, kim cương, phốt phát, dầu khí).
- Trồng cây công nghiệp nhiệt đới (cacao, cà phê, bông, lạc) để xuất khẩu.
Câu 3 trang 48 Vở bài tập Địa lí 5
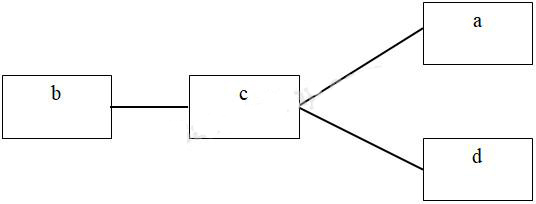
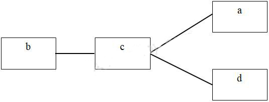
Chọn ý rồi điền vào các ô sau đây sao cho phù hợp.
a) Nhiều bệnh dịch nguy hiểm
b) kinh tế chậm phát triển
c) Đời sống nhân dân còn nhiều khó khăn
d) Thiếu ăn, thiếu mặc….

Trả lời:

Câu 4 trang 49 Vở bài tập Địa lí 5
Đánh dấu × vào ô ☐ trước ý em cho là đúng.
a) Sông nào chảy qua Ai Cập?
☐ Sông Côn-gô
☐ Sông Nin
☐ Sông Ni-giê
b) Ai Cập ở phía nào của châu Phi?
☐ Nam Phi
☐ Bắc Phi
☐ Giữa châu Phi
☐ Tây Phi
c) Ai Cập là cầu nối giữa các châu lục nào?
☐ Châu Á với châu Âu
☐ Châu Phi với Châu Âu
☐ Châu Phi với châu Á
Trả lời:
a) Sông nào chảy qua Ai Cập?
☒ Sông Nin
b) Ai Cập ở phía nào của châu Phi?
☒ Bắc Phi
c) Ai Cập là cầu nối giữa các châu lục nào?
☒ Châu Phi với châu Á
Câu 5 trang 49 Vở bài tập Địa lí 5
Em hãy nêu vai trò của sông Nin đối với Ai Cập.
Trả lời
Vai trò của sông Nin đối với Ai Câp:
- Cung cấp nguồn nước quan trọng cho đời sống và sản xuất.
- Bồi đắp nên đồng bằng châu thổ màu mỡ.
- Sinh ra nền văn minh sông Nin rực rỡ thời cổ đại.
Câu 6 trang 49 Vở bài tập Địa lí 5
Vì sao Ai Cập có sức hấp dẫn với khách du lịch?
Trả lời
Ai Cập có sức hấp dẫn với khách du lịch vì: nổi tiếng với các công trình kiến trúc cổ như kim tự tháp, tượng nhân sư…..
>> Bài liên quan: Giải bài tập SGK Địa lí 5 bài 24: Châu Phi (tiếp theo).
>> Bài tiếp theo: Giải Vở bài tập Địa lý 5 bài 25: Châu Mĩ