Giáo trình môn Vật liệu xây dựng
GIÁO TRÌNH MÔN
VẬT LIỆU XÂY DỰNG
CHƯƠNG 1: NHỮNG TÍNH CHẤT CƠ BẢN CỦA VẬT LIỆU XÂY DỰNG
I- Các tính chất vật lý chủ yếu của VLXD
1- Khối lượng riêng.
a - Định nghĩa: Là khối lượng của một đơn vị thể tích vật liệu ở trạng thái hoàn toàn đặc chắc (không có lỗ rỗng).
Ký hiệu: Уa
b - Công thức xác định: 
Trong đó:
G: là khối lượng mẫu thí nghiệm ở trạng thái hoàn toàn đặc chắc (kg, tấn...)
Va: Là thể tích mẫu thí nghiệm ở trạng thái hoàn toàn đặc chắc (m3, cm3..)
c - Cách xác định: Tuỳ theo từng loại vật liệu mà có cách xác định khác nhau
* Đối với vật liệu có thể coi là hoàn toàn đặc chắc (như kính, thép…) ta dùng phương pháp cân và đo kích thước chính xác rồi áp dụng công thức (1-1).
* Đối với vật liệu rời rạc không đặc chắc và có kích thước hình học không rõ ràng (như cát, gạch, đá) ta tiến hành bằng phương pháp tỷ trọng.
+ Mẫu được sấy khô cân xác định được G,
+ Sau đó nghiền mịn phá vỡ kết cấu lỗ rỗng và cho vào bình tỷ trọng ta xác định được Va bằng thể tích nước dời đi khi cho bột thí nghiệm vào.
d - Ý nghĩa
Khối lượng riêng dùng để tính độ đặc, độ rỗng của vật liệu, phân biệt các vật liệu cùng loại và áp dụng để tính vật liệu thành phần cấp phối cho bê tông xi măng
2- Khối lượng thể tích
a- Định nghĩa
Là khối lượng của một đơn vị thể tích vật liệu ở trạng thái tự nhiên có cả lỗ rỗng. Ký hiệu: У0
b - Công thức xác định: 
Trong đó:
G :là khối lượng mẫu thí nghiệm ở trạng thái hoàn toàn đặc chắc (kg, tấn...)
V0: Là thể tích mẫu thí nghiệm ở trạng thái tự nhiên (m3, cm3..)
c - Cách xác định
Tuỳ theo từng loại vật liệu mà có cách xác định khác nhau thông thường xác định khối lượng thể tích có 3 phương pháp
* Đối với vật liệu có thể gia công theo kích thước hình học rõ ràng (như khối lập phương, khối hình trụ…) ta dùng phương pháp cân và đo kích thước chính xác rồi áp dụng công thức (1-2).
* Đối với vật liệu không có kích thước hình học rõ ràng ta tiến hành như sau
+ Mẫu được sấy khô ở nhiệt độ 100- 1100c cân xác định được G
+ Bọc một lớp Paraphin cách nước và ta lại tiếp tục cân xác định được G1
+ Sau đó cho nước vào bình lực đầu bình có thể tích nước là V1, sau khi cho vật liệu vào bìnhcó thể tích nước là V2 . ta xác định được V0

Trong đó:
V1: là thể tích nước ban đầu trong bình.
V2: Là thể tích nước sau khi chop mẫu vào.
G1: Là khối lượng mẫu và khối lượng Paraphin.
G: Là khối lượng mẫu ở trạng thái khô.
* Đối với những vật liệu rời rạc như cát, đá, sỏi… xác định như sau
+ Sấy khô mẫu thí nghiệm sau đó cân xác định được G
+ Xác định V0 bằng ca đong, vật liệu rời rạc được thả tự do vào ca đã biết trước thể tích ở một độ cao nhất định (tính đến mép ca) để mức độ lèn chặt của vật liệu luôn giống nhau.
d - Ý nghĩa
Khối lượng thể tích dùng để tính độ đặc, độ rỗng của vật liệu, tính vật liệu thành phần cấp phối cho bê tông xi măng và đánh giá một số tính chất của vật liệu như cường độ, độ ẩm, khả năng truyền nhiệt của vật liệu.
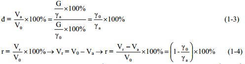
3- Độ đặc và độ rỗng của vật liệu
a - Định nghĩa
Độ đặc (đ) và độ rỗng (r) của vật liệu là tỉ số giữa thể tích đặc (Va) và thể tích lỗ rỗng (Vr) với thể tích tự nhiên.
b- Công thức xác định

Độ đặc và độ rỗng của vật liệu rất khác nhau nó phụ thuộc vào tính chất và cấu trúc của mỗi loại vật liệu.
+ Thép, kính… đ = r = 0.
+ Gạch ngói …. r = 25 – 35 %.
c - Ý nghĩa
- Khi độ rỗng của vật liệu càng nhỏ thì cường độ của vật liệu càng cao, khả năng chống thấm tốt.
- Khi độ rỗng lớn thì khả năng cách âm, cách nhiệt tốt song cường độ và khả năng chịu lực giảm.
4- Độ hút nước
a - Định nghĩa
Độ hút nước là khả năng hút và giữ nước trong các lỗ rỗng của vật liệu ở áp lực bình thường.
b - Công thức xác định
Xác định độ hút nước của vật liệu theo hai dạng.
+ Theo khối lượng:

+ Theo thể tích:

Trong đó:
G: Là khối lượng của mẫu thí nghiệm ở trạng thái khô.
G1: Khối lượng của mẫu đã hút nước.
V1: Thể tích của nước được mẫu hút.
V0: Thể tích tự nhiên của mẫu.
c - Cách xác định
- Sấy khô vật liệu cân xác định được G.
- Ngâm vật liệu từ từ 1/2 sau đó 2/3 và hết vào nước dưới áp xuất không khí bình thường trong một thời gian quy định để vật liệu hút được nhiều nước nhất sau đó cân xác định được G1 và áp dụng công thức (1-5) (1-6).
d - Nhận xét
Hv luôn nhỏ hơn 1.
HP có thể lớn hơn 1 nếu vật liệu nhẹ và rỗng.
Độ hút nước phụ thuộc vào độ rỗng và tính chất lỗ rỗng (kín hay hở)
Căn cứ vào độ hút nước ta có thể đánh giá được tính truyền nhiệt và các tính chất khác.
5 - Độ ẩm
a - Định nghĩa: Là tỉ lệ nước có thật nằm trong vật liệu, ký hiệu
b - Công thức xác định

Trong đó:
G1: Khối lượng của mẫu khi đã hút ẩm.
G: Khối lượng của mẫu ở trạng thái khô.
c - Cách xác định
- Lấy vật liệu ở điều kiện bình thường cân xác định được G1
- Sấy khô ở nhiệt độ 100 – 1100c cân xác định được G sau đó áp dụng công thức (1-7) để xác định độ ẩm.
d - Nhận xét
Độ ẩm của vật liệu phụ thuộc chặt chẽ với môi trường xung quanh khi khô ráo thì độ ẩm của vật liệu giảm và ngược lại. Khi độ ẩm tăng thì thể tích của vật liệu nở ra và ngược lại.
6 - Sức chịu nước
Khi vật liệu bị ẩm, nhất là khi bị bão hoà nước các tính chất của vật liệu sẽ thay đổi đặc biệt là cường độ của vật liệu giảm. Mức độ giảm cường độ của vật liệu khi bão hoà nước được biểu thị bằng hệ số mềm Km

Rmbh: cường độ của mẫu thí nghiệm ở trạng thái bão hoà nước.
RmK : Cường độ của mẫu thí nghiệm ở trạng thái khô.
Chú ý:
- Km luôn luôn nhỏ hơn 1
- Km càng nhỏ thì vật liệu chịu nén kém.
- Ở nơi khô ráo cần vật liệu có Km = 0.1 –0.15.
- Ở nơi ẩm ướt cần vật liệu có Km = 0.75.
7- Sức chịu lửa của vật liệu: Là khả năng của vật liệu chịu được cháy mà ít làm thay đổi đến tính chất của vật liệu trong khoảng thời gian tiếp xúc nhất định với lửa.
8- Tính truyền nhiệt của vật liệu:
Là khả năng của vật liệu cho nhiệt lượng truyền qua từ bên có nhiệt độ cao sang bên có nhiệt độ thấp. Ký hiệu: Q

Trong đó:
a: chiều dày của lớp vật liệu (m,cm..)
S: diện tích truyền nhiệt (m2, cm2…)
t1: nhiệt độ mặt phẳng có nhiệt độ thấp ( 0c)
t2: nhiệt độ mặt phẳng có nhiệt độ cao ( 0c)
Z: thời gian truyền nhiệt (giờ)
λ: hệ só truyền nhiệt (phụ thuộc vào từng loại vật liệu)
9- Ảnh hưởng của hoá chất
Khi vật liệu tiếp xúc với hoá chất thì xẩy ra các phản ứng hoá học làm thay đổi thành phần của vật liệu dẫn tới các tính chất của vật liệu cũng thay đổi như sự ăn mòn của bê tông, sự phá huỷ của thép xây dựng
Vì vậy khi xây dựng công trình có ảnh hưởng trực tiếp hoặc gián tiếp với hoá chất ta phải chọn loại vật liệu không bị ăn mòn hoặc phải có biện pháp bảo vệ chống ăn mòn về hoá chất.