Hiệu điện thế là gì? Công thức tính hiệu điện thế
Bài viết sau đây sẽ cung cấp cho chúng ta những kiến thức cơ bản về hiệu điện thế là gì? công thức tính hiệu điện thế và những ví dụ quan trọng. Hi vọng với những tìm hiểu và ví dụ nêu trên sẽ giúp các em xử lý các bài tập về hiệu điện thế, cường độ dòng điện, điện trường dễ dàng hơn.
Hiệu điện thế là gì? Công thức tính hiệu điện thế
Tìm hiểu về hiệu điện thế
Dòng điện là dòng dịch chuyển có hướng của các hạt mang điện. Cũng như dòng nước để có dòng điện chạy từ vị trí (1) sang vị trí (2) thì phải có sự chênh lệch giữa 2 vị trí này

Sự chênh lệch đó được gọi là hiệu điện thế. Bài viết sau đây sẽ giúp chúng ta tìm hiểu về hiệu điện thế.
Hiệu điện thế là gì?
Như đã đề cập ở trên hiệu điện thế chính là sự chênh lệch điện thế giữa 2 cực của một dòng điện.
U12 = V1 - V2
Hiệu điện thế biểu thị cho khả năng thực hiện công di chuyển một hạt điện tích trong trường tĩnh điện từ điểm này đến điểm kia
Hiệu điện thế ký hiệu là U, đơn vị là V (Vôn)

Hiệu điện thế là một đại lượng vô hướng và là một giá trị xác định(không phụ thuộc vào việc lựa chọn gốc thế năng)
Hiệu điện thế luôn tạo ra một điện trường có véc tơ từ nơi có điện thế cao sang nơi có điện thế thấp
Tại vô cực hiệu điện thế được quy ước bằng 0
Để đo hiệu điện thế người ta thường sử dụng Vôn kế
Công thức tính hiệu điện thế
Hiệu điện thế đã được nhắc đến ngay từ bậc cơ sở với công thức:
U = I. R
Trong đó: I là cường độ dòng điện (A)
R là điện trở của vật dẫn điện (Ω)
U là hiệu điện thế (V)
Lên tới bậc phổ thông qua những phân tích tìm hiểu về bản chất như ở trên ta có thể thấy rằng:
U12 = V1 - V2.
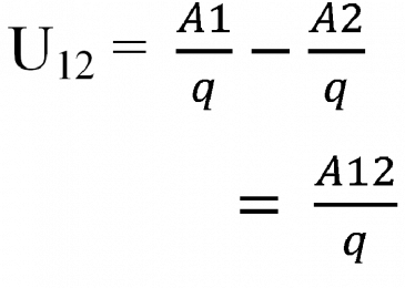
Gọi A1, A2 lần lượt là khả năng thực hiện công để đưa điện tích từ vị trí (1) , vị trí (2)ra vô cực;

Như vậy hiệu điện thế giữa hai điểm (1) và (2) trong điện trường đặc trưng cho khả năng sinh công của lực điện trong sự di chuyển của điện tích từ vị trí 1 đến vị trí 2. Nó được xác định bằng thương số công của lực điện tác dụng lên điện tích q trong sự di chuyển của (1) và (2) và độ lớn của q.

Trong đó: U12: Hiệu điện thế giữa 2 điểm (1) và (2), đơn vị là V
A12: Công của lực điện để làm cho điện tích dịch chuyển từ vị trí điểm (1) đến vị trí điểm (2), đơn vị là J
q: điện tích (C)
Mở rộng công thức: Đối với điện trường đều ta có
A12 = q. E. d12
U12 = d12. E
Trong đó: d12: đường chiếu của 2 điểm tại vị trí q và 2 trên phương của đường sức (m)
(d12 có thể lớn hơn hoặc nhỏ hơn 0, bằng 0 phụ thuộc vào chiều chuyển dịch của điện tích)
E: cường độ điện trường (V/m)
Ví dụ minh họa
Một e di chuyển một đoạn 0,6 cm từ điểm M đến điểm N dọc theo một đường sức điện của 1 điện trường đều thì lực điện sinh công 9,6.10-18J
a. Tính cường độ điện trường
b. Tính công mà lực điện sinh ra khi e di chuyển tiếp 0,4 cm từ điểm N đến điểm P theo phương và chiều nói trên?
c. Tính hiệu điện thế UNP
Lời giải
0.6 cm = 0.006m
a, E = 9,6.10-18J / (0.006.1.602. 10-19) = 104 (V/m)
b, 0.4 cm = 0.004m
Ap = E.q.dp= 104 . 1.602 . 10-19. 0.004
= 6,4.10-18 J
c, UNP = Ap/q = -40 V