Hóa học 11 Cánh Diều bài 7
Theo lộ trình thực hiện Chương trình giáo dục phổ thông 2018 của Bộ Giáo dục và Đào tạo, từ năm học 2023-2024, học sinh các khối lớp 11 sẽ học theo chương trình, sách giáo khoa mới. Để giúp các thầy cô và các em học sinh làm quen với từng bộ sách mới, VnDoc xin giới thiệu tài liệu Hóa học 11 Cánh Diều bài 7. Mời quý bạn đọc cùng tham khảo.
Hóa học 11 Cánh Diều bài 7: Sulfuric acid và muối sulfate
Mở đầu trang 44 Hoá học 11
Nhãn dán trên chai đựng dung dịch sulfuric acid thường có hình như Hình 7.1. Giải thích ý nghĩa của hình và nguyên nhân gây nên hiện tượng được mô tả trong hình.

Lời giải:
- Hình ảnh dán trên chai đựng sulfuric acid cho biết đây là hoá chất ăn mòn.
- Nguyên nhân gây ra hiện tượng trong hình là do sulfuric acid có tính acid mạnh, đặc biệt sulfuric acid đặc có tính oxi hoá mạnh và tính háo nước.
I. Sulfuric acid
Câu hỏi 1 trang 44 Hoá học 11
Hãy viết công thức Lewis của phân tử H2SO4.
Lời giải:
Công thức Lewis của H2SO4:

Thí nghiệm 1 trang 45 Hoá học 11
Tính oxi hoá của dung dịch sulfuric acid loãng và dung dịch sulfuric acid đặc
Chuẩn bị: Kim loại đồng dạng mảnh hoặc sợi, dung dịch sulfuric acid loãng và dung dịch sulfuric acid đặc, ống nghiệm, bông tẩm kiềm, đèn cồn.
Tiến hành:
• Cho mảnh đồng nhỏ vào ống nghiệm thứ nhất. Cho tiếp vào ống nghiệm khoảng 3 mL dung dịch sulfuric acid loãng. Đun nóng nhẹ ống nghiệm trên ngọn lửa đèn cồn.
• Cho mảnh đồng nhỏ vào ống nghiệm thứ hai. Cho tiếp vào ống nghiệm khoảng 3 mL dung dịch sulfuric acid đặc. Nút bông tẩm kiềm vào miệng ống nghiệm. Đun nóng nhẹ ống nghiệm trên ngọn lửa đèn cồn.
Yêu cầu: Quan sát hiện tượng và giải thích. Viết phương trình hoá học minh hoạ, xác định vai trò của các chất khi phản ứng xảy ra.
Lời giải:
Hiện tượng:
- Ống nghiệm 1: Không thấy xuất hiện hiện tượng gì.
- Ồng nghiệm 2: Mảnh đồng tan dần, có khí không màu thoát ra, sau phản ứng thu được dung dịch có màu xanh.
Phương trình hoá học:
2H2S+6O4(aq) + Cu0(s)
\(\overset{t^{0} }{\rightarrow}\) Cu+2SO4(aq) + 2H2O(l) + S+4O2(g)
Trong phản ứng, số oxi hoá của sulfur giảm từ +6 xuống +4 nên H2SO4 đóng vai trò là chất oxi hoá; số oxi hoá của Cu tăng từ 0 lên +2 nên Cu đóng vai trò là chất khử.
Thí nghiệm 2 trang 45 Hoá học 11
Tính háo nước và tính oxi hoá của dung dịch sulfuric acid đặc
Chuẩn bị: Đường kính hoặc bột gạo hay bột mì, cốc thuỷ tinh chịu nhiệt, chậu thuỷ tinh rộng, ống nhỏ giọt, dung dịch sulfuric acid đặc.
Tiến hành: Đặt cốc thuỷ tinh vào chậu thuỷ tinh. Cho một thìa nhỏ đường kính, hoặc bột gạo, hoặc bột mì vào cốc. Nhỏ từ từ vài mL dung dịch sulfuric acid đặc vào cốc.
Yêu cầu: Quan sát hiện tượng. Giải thích và viết phương trình hoá học.
Chú ý an toàn: Cẩn thận khi sử dụng dung dịch sulfuric acid.
Lời giải:
- Hiện tượng: Đường kính hoặc bột gạo hay bột mì dần dần hoá than, có hiện tượng sủi bọt đẩy C trào ra ngoài cốc.
- Giải thích: Các hợp chất đường kính, bột gạo hay bột mì … (công thức tổng quát có dạng Cn(H2O)m) bị than hoá do phản ứng tạo ra carbon. Một phần carbon sinh ra tiếp tục bị oxi hoá bởi acid tạo thành khí, đẩy carbon trào ra ngoài cốc.
- Phương trình hoá học:
Cn(H2O)m(s)
\(\overset{H_{2}SO_{4}}{\rightarrow}\) nC(s) + mH2O(l)
C(s) + 2H2SO4 (aq) → CO2(g) + 2SO2(g) + 2H2O(l).
Luyện tập 1 trang 45 Hoá học 11
Hãy viết phương trình hoá học của phản ứng giữa dung dịch sulfuric acid loãng, dư với lần lượt từng chất sau: kẽm (zinc), zinc oxide, barium hydroxide, sodium carbonate.
Lời giải:
Các phương trình hoá học xảy ra:
Zn(s) + H2SO4(aq) → ZnSO4(aq) + H2(g);
ZnO(s) + H2SO4(aq) → ZnSO4(aq) + H2O(l);
Ba(OH)2(aq) + H2SO4(aq) → BaSO4(s) + 2H2O(l);
Na2CO3(aq) + H2SO4(aq) → Na2SO4(aq) + CO2(g) + H2O(l).
Câu hỏi 2 trang 46 Hoá học 11
Số oxi hoá lớn nhất của sulfur trong các hợp chất là +6. Vậy H2SO4 có khả năng thể hiện tính khử không? Giải thích.
Lời giải:
Trong hợp chất H2SO4, sulfur có số oxi hoá là +6, đây là số oxi hoá cao nhất của sulfur do đó H2SO4 không thể hiện tính khử.
Luyện tập 2 trang 46 Hoá học 11
Dự đoán hiện tượng xảy ra khi cho vài giọt dung dịch sulfuric acid đặc vào ống nghiệm chứa vài hạt cơm (thành phần chính là tinh bột ((C6H10O5)n). Viết phương trình hoá học minh hoạ.
Lời giải:
Hiện tượng: Hạt cơm dần dần hoá than, có hiện tượng sủi bọt.
Phương trình hoá học:
(C6H10O5)n(s)
\(\overset{H_{2}SO_{4}}{\rightarrow}\) 6nC(s) + 5nH2O(l)
C(s) + 2H2SO4 (aq) → CO2(g) + 2SO2(g) + 2H2O(l).
Luyện tập 3 trang 47 Hoá học 11
Phòng thí nghiệm có một lọ đựng dung dịch sulfuric acid đặc không còn nguyên chất, không sử dụng được nữa. Hãy đề xuất cách loại bỏ lọ acid này một cách an toàn mà ít gây ảnh hưởng đến môi trường và sức khoẻ.
Lời giải:
Cách loại bỏ lọ acid này: Sử dụng dung dịch base (ví dụ: nước vôi trong) để trung hoà acid, đưa về các muối trung hoà.
Ca(OH)2(aq) + H2SO4(aq) → CaSO4(s) + 2H2O(l).
Câu hỏi 3 trang 48 Hoá học 11
“Nhờ có chất xúc tác nên phản ứng giữa SO2 và O2 ưu tiên chuyển dịch theo chiều thuận”. Phát biểu trên là đúng hay sai? Giải thích.
Lời giải:
Phát biểu trên là sai. Do chất xúc tác làm tăng tốc độ phản ứng thuận và tốc độ phản ứng nghịch với số lần bằng nhau, do đó chất xúc tác không làm cân bằng chuyển dịch.
Vận dụng trang 48 Hoá học 11
Quá trình sản xuất sulfuric acid có thể ảnh hưởng đến môi trường và người tham gia sản xuất. Hãy tìm hiểu nguyên nhân và đề xuất một số biện pháp hạn chế những tác hại đó.
Lời giải:
- Một số nguyên nhân dẫn đến rủi ro, sự cố:
+ Nổ bình chứa, ống dẫn khí SO2, SO3.
+ Vỡ, thủng các bồn chứa acid.
+ Rò rỉ hệ thống đường ống dẫn hơi, các van, mối nối trên hệ thống đường ống.
+ Cháy nổ do chập điện…
- Một số biện pháp đề xuất để hạn chế tác hại:
+ Thực hiện nghiêm túc nội quy an toàn lao động; trang bị đầy đủ các phương tiện bảo vệ cá nhân (quần áo bảo hộ lao động, kính mắt, gang tay, ủng …) khi làm việc.
+ Thường xuyên kiểm tra máy móc, thiết bị vận hành…
+ Sử dụng các thiết bị tách mù tiên tiến, có hiệu xuất xử lí cao, ví dụ như thiết bị tách mù acid bằng lọc bụi tĩnh điện ướt (ở nhà máy Super phosphate Lâm Thao) …
II. Muối sulfate
Câu hỏi 4 trang 49 Hoá học 11
Hai chất phụ gia thực phẩm đều màu trắng là bột thạch cao nung và bột “baking soda” NaHCO3. Làm thế nào để phân biệt hai chất phụ gia này?
Lời giải:
Cách 1: Sử dụng phương pháp vật lí:
Ở 20oC, độ tan của CaSO4 là 0,2 g/ 100 g nước; độ tan của NaHCO3 là 7,8 g/ 100 g nước.
Do đó có thể hoà tan lần lượt 5 gam mỗi chất vào từng cốc chứa 100 gam nước. Nếu:
+ Cốc nào chất rắn tan hết là NaHCO3.
+ Cốc nào chất rắn không tan hết là thạch cao nung (CaSO4. 0,5H2O).
Cách 2: Sử dụng phương pháp hoá học:
Trích mẫu thử, sau đó cho lần lượt từng mẫu thử tác dụng với H2SO4.
+ Nếu mẫu thử tan dần, có khí thoát ra là NaHCO3:
2NaHCO3(s) + H2SO4(aq) → Na2SO4(aq) + CO2(g) + 2H2O(l).
+ Nếu không có khí thoát ra là thạch cao nung (CaSO4. 0,5H2O).
Luyện tập 4 trang 50 Hoá học 11
Trình bày cách sử dụng dung dịch barium hydroxide để phân biệt ba phân đạm có thành phần chính lần lượt là NaNO3, NH4Cl, (NH4)2SO4.
Lời giải:
Đánh số thứ tự từng mẫu phân đạm, trích mỗi loại một ít sang ống nghiệm đánh số tương ứng (trích mẫu thử);
Cho lần lượt từng mẫu thử tác dụng với dung dịch barium hydroxide (Ba(OH)2), đun nóng. Nếu:
+ Không có hiện tượng gì xuất hiện → mẫu thử là NaNO3;
+ Thoát ra khí mùi khai, xốc → mẫu thử là NH4Cl;
2NH4Cl(s) + Ba(OH)2(aq) → BaCl2(aq) + 2NH3(g) + 2H2O(l);
+ Vừa thoát ra khí mùi khai, xốc; vừa có kết tủa xuất hiện → mẫu thử là (NH4)2SO4;
(NH4)2SO4(s) + Ba(OH)2(aq) → BaSO4(s) + 2NH3(g) + 2H2O (l).
Bài tập (trang 50)
Bài 1 trang 50 Hoá học 11
a) Tính thể tích dung dịch H2SO4 98% (D = 1,84 g mL-1) cần dùng để pha chế thành 500 mL dung dịch H2SO4 0,05 M.
b) Tính thể tích dung dịch H2SO4 0,05 M cần dùng để trung hoà 10 mL dung dịch NaOH có pH = 13.
Lời giải:
a) Số mol H2SO4 có trong dung dịch cần pha chế là:
n = 0,5.0,05 = 0,025 mol;
Khối lượng dung dịch H2SO4 98% cần dùng để pha chế là:
\(m_{dd}=\frac{m_{ct}.100}{C^{\circ} / \circ }=\frac{0,025.98.100}{98}=2,5(gam)\)
Thể tích dung dịch H2SO4 98% cần dùng để pha chế là:
\(V=\frac{m}{D}=\frac{2,5}{1,84} \approx 1,36(mL)\)
b) Dung dịch NaOH có pH = 13 ⇒
\([OH^{-}]=[NaOH]=\frac{10^{-14} }{10^{-13} }=0,1(M)\)
⇒ nNaOH = 0,1.0,01 = 0,001 (mol)
Phản ứng trung hoà:
H+ + OH− → H2O
⇒ nH+ = nOH− ⇔ 2.VH2SO4.0,05 = 0,001 ⇒ VH2SO4 = 0,01 (L) = 10(mL).
Bài 2 trang 50 Hoá học 11
Các ao, hồ, suối, sông quanh miệng núi lửa thường có môi trường acid. Điển hình là hồ Kawah Ijen, miền Đông đảo Java, Indonesia. Hồ nằm cao hơn mặt nước biển 2 300 m, được cho là “hồ acid” lớn nhất thế giới. Giá trị pH của nước trong hồ dao động từ 0,13 đến 0,50 chủ yếu do sulfuric acid gây nên.
Hãy giải thích nguyên nhân có mặt của sulfuric acid trong hồ.
Lời giải:
Khi núi lửa hoạt động, các hợp chất chứa sulfur sẽ bị oxi hoá tạo ra khí SO2. Sau đó SO2 tiếp tục bị oxi hoá tạo ra SO3.
SO3 sinh ra tan vào nước hồ, đó chính là nguyên nhân sự có mặt của sulfuric acid trong hồ.
Bài 3 trang 50 Hoá học 11
Dựa vào tính chất nào để phân biệt nhanh muối magnesium sulfate và muối barium sulfate?
Lời giải:
Ở 20 oC, độ tan của muối magnesium sulfate là 35,1 gam/ 100 gam nước; còn độ tan của muối barium sulfate là 0,245 miligam/ 100 gam nước.
Do đó, có thể dựa vào tính chất vật lí (khả năng tan trong nước) để phân biệt nhanh muối magnesium sulfate và muối barium sulfate.
Bài 4 trang 50 Hoá học 11
Viết phương trình hoá học của các phản ứng theo dãy chuyển hoá dưới đây.
FeS2 → SO2 → SO3 → H2SO4 → (NH4)2SO4.
Lời giải:
(1) 4FeS2 + 11O2
\(\overset{t^{0} }{\rightarrow}\) 2Fe2O3 + 8SO2;
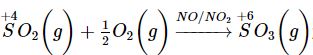
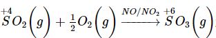
(2)
;
(3) SO3 + H2O → H2SO4;
(4) H2SO4 + 2NH3 → (NH4)2SO4
-------------------
Trên đây VnDoc.com vừa gửi tới bạn đọc bài viết Hóa học 11 Cánh Diều bài 7. Hi vọng qua bài viết này bạn đọc có thêm tài liệu để học tập tốt hơn môn Hóa học 11 Cánh diều.