Luyện thi Violympic Toán lớp 9 vòng 17 năm 2015 - 2016
Đề luyện thi Violympic Toán lớp 9 vòng 17
Luyện thi Violympic Toán lớp 9 vòng 17 năm 2015 - 2016 được VnDoc sưu tầm và giới thệu tới các em học sinh tham khảo để củng cố và rèn luyện kiến thức chuẩn bị cho vòng thi 17 (bắt đầu mở từ ngày 23/03/2016) của Cuộc thi giải Toán qua mạng lớp 9 năm 2015 - 2016 sắp tới đây.
Mời làm: Luyện thi Violympic Toán lớp 9 vòng 17 năm 2015 - 2016 trực tuyến
Bài 1: Hãy điền giá trị thích hợp vào chỗ chấm
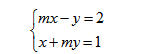
Câu 1.1: Gọi (xo; yo) là nghiệm của hệ phương trình:
![]()
Khi đó: xo2 + yo2 = ..............
Câu 1.2: Giá trị nguyên nhỏ nhất của m để phương trình mx2 - 2(m + 2)x + m + 1 = 0 có hai nghiệm phân biệt là m = .........
Câu 1.3: Số nghiệm của phương trình (3x2 - 2)2 - 9(x - 1)2 = 0 là ...........
Câu 1.4: Một hình nón có diện tích xung quanh là 80πcm2, đường sinh là 10cm thì chiều cao của hình nón bằng ........... cm.
Câu 1.5: Tất cả các nghiệm của phương trình 2x4 + 3x3 - 16x2 + 3x + 2 = 0 là ...............
Câu 1.6: Với m = ............ ( m < 0) thì hệ
có nghiệm (x; y) thỏa mãn x + y = -1
Câu 1.7: Gọi A và B là giao điểm của đồ thị hai hàm số y = 2x + 3 và y = x2.
D và C lần lượt là hình chiếu của A và B trên trục hoành. Khi đó diện tích tứ giác ABCD bằng ............. đơn vị diện tích.
Câu 1.8: Cho x + y = 4, ta được giá trị lớn nhất của M = x.y + 1 là ..............
Câu 1.9: Cho a, b, c là các số thực dương thỏa mãn 21ab + 2bc + 8ac ≤ 12. Khi đó giá trị nhỏ nhất của biểu thức A = 1/a + 2/b + 3/c là ................
Câu 1.10: Nếu phương trình x4 + ax3 + 2x2 + bx + 1 = 0 có nghiệm thì giá trị nhỏ nhất của a2 + b2 là ..............
Bài 2: Tìm cặp bằng nhau:

Bài 3: Vượt chướng ngại vật
Câu 3.1: Hai đường tròn (O1; 6,5cm) và (O2; 7,5cm) giao nhau tại A và B. Biết O1, O2 thuộc cùng một nửa mặt phẳng bờ AB và AB = 12cm. Độ dài đoạn nối tâm O1O2 = ......... cm.
Câu 3.2: Trên đường tròn (O) lấy theo thứ tự bốn điểm A, B, C, D sao cho các cung AB, BC và CD có số đo lần lượt là 80o, 50o, 60o. Gọi I là giao điểm của AB và DC. Số đo góc AID = ...........o.
Câu 3.3: Số nghiệm không nguyên của phương trình:
là ............
Câu 3.4: Cho phương trình px + qx + 1 = 0 (1) với p, q là các số hữu tỉ.
Biết
là nghiệm của (1) khi đó p + q = ..........
Câu 3.5: Nghiệm của phương trình: ![]()
Đáp án đề luyện thi Violympic Toán lớp 9 vòng 17
Bài 1: Hãy điền giá trị thích hợp vào chỗ chấm
Câu 1.1: 34
Câu 1.2: -1
Câu 1.3: 2
Câu 1.4: 6
Câu 1.5: 1
Câu 1.6: -3
Câu 1.7: 20
Câu 1.8: 5
Câu 1.9: 7,5
Câu 1.10: 8
Bài 2: Tìm cặp bằng nhau
(1) = (11); (2) = (8); (3) = (9); (4) = (6); (5) = (10); (7) = (16); (12) = (17); (13) = (19); (14) = (18); (15) = (20)
Bài 3: Vượt chướng ngại vật
Câu 3.1: 2
Câu 3.2: 60
Câu 3.3: 0
Câu 3.4: -7
Câu 3.5: -1