Lý thuyết Công nghệ 8 Kết nối tri thức bài 7
Chúng tôi xin giới thiệu bài Lý thuyết Công nghệ 8 bài 7: Truyền và biến đổi chuyển động sách Kết nối tri thức hay, chi tiết cùng với nội dung chọn lọc có đáp án giúp học sinh nắm vững kiến thức trọng tâm, ôn luyện để học tốt môn Công nghệ 8.
Bài: Truyền và biến đổi chuyển động
I. Một số cơ cấu truyền chuyển động
- Truyền chuyển động là truyền và biến đổi tốc độ giữa các bộ phận của máy đặt xa nhau.
- Một số cơ cấu truyền chuyển động bao gồm: truyền động ma sát, truyền động ăn khớp.
1. Truyền động ma sát
Truyền động ma sát là cơ cấu truyền chuyển động từ một vật (vật dẫn) tới một vật khác (vật bị dẫn) nhờ lực ma sát. Trong các bộ truyền động ma sát, phổ biến nhất là truyền động đai.
a) Cấu tạo bộ truyền động đai
Cấu tạo của bộ truyền động đai bao gồm 3 bộ phận: bánh dẫn, bánh bị dẫn và dây đai (Hình 7.2)

b) Nguyên lí làm việc
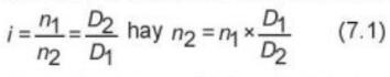
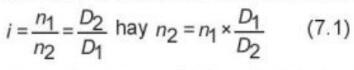
- Khi bánh dẫn 1 (có đường kính D1) quay với tốc độ n1 (vòng/phút), nhờ lực ma sát giữ dây đai và hai bánh đai, bánh bị dẫn 2 (có đường kính D2) sẽ quay với tốc độ n2 (vòng/phút), tỉ số truyền i được xác định bởi công thức:

- Khi ma sát giữa bánh và dây đai không đủ đảm bảo thì dây đai và bánh đai cũng có thể bị trượt tương đối với nhau nên tỉ số truyền bị thay đổi.
- Từ công thức 7.1, ta thấy:
+ i = 1: tốc độ quay của bánh dẫn và bánh bị dẫn bằng nhau.
+i > 1: bánh dẫn quay nhanh hơn bánh bị dẫn và ngược lại.
c) Ứng dụng
Bộ truyền động đai có cấu tạo đơn giản, làm việc êm, có thể truyền chuyển động giữa các trục cách xa nhau, nên được sử dụng rộng rãi trong nhiều loại máy khác nhau như máy khâu, máy khoan, máy tiện, ô tô, máy kéo,...
2. Truyền động ăn khớp
- Truyền động ăn khớp là cơ cấu truyền chuyển động từ vật dẫn tới vật bị dẫn qua các cơ cấu ăn khớp.
- Truyền động bánh răng, truyền động xích là hai cơ cấu truyền chuyển động ăn khớp phổ biến.
a) Cấu tạo

b) Nguyên lí làm việc
- Khi bánh dẫn hoặc đĩa dẫn (1) (có số răng Z1) quay với tốc độ n1 (vòng/phút), nhờ ăn khớp giữa hai bánh răng (hoặc giữa xích và đĩa xích), bánh bị dẫn hoặc đĩa bị dẫn (2) (có số răng Z2) sẽ quay với tốc độ n2 (vòng/phút), tỉ số truyền i được xác định bởi công thức:

- Từ công thức trên ta thấy bánh răng (hoặc đĩa xích) nào có số răng ít hơn thì sẽ quay nhanh hơn.
- Chiều quay của đĩa xích bị dẫn 2 cùng chiều với đĩa dẫn 1 (truyền động xích), chiều quay của bánh bị dẫn 2 ngược chiều với bánh dẫn 1 (truyền động bánh răng).
c) Ứng dụng
- Bộ truyền động bánh răng dùng để truyền chuyển động quay giữa các trục song song hoặc vuông góc nhau, có tỉ số truyền xác định
- Được dùng trong nhiều hệ thống truyền động của các loại máy, thiết bị khác nhau như: đồng hồ, hộp số xe máy, ô tô,...
- Bộ truyền động xích dùng để truyền chuyển động quay giữa hai trục cách xa nhau có tỉ số truyền xác định như xe đạp, xe máy, máy nâng chuyển,...
II. Một số cơ cấu biến đổi chuyển động
- Biến đổi chuyển động là từ một chuyển động ban đầu biến đổi thành các chuyển động khác.
- Một số cơ cấu biến đổi chuyển động bao gồm: cơ cấu tay quay con trượt, cơ cấu tay quay thanh lắc...
1. Cơ cấu tay quay con trượt
Cơ cấu tay quay con trượt biến chuyển động quay thành chuyển động tịnh tiến và ngược lại.
a) Cấu tạo
Cấu tạo của cơ cấu tay quay con trượt gồm 4 bộ phận chính:
- Tay quay
- Thanh truyền
- Con trượt
- Giá đỡ

b) Nguyên lí làm việc
Khi tay quay (1) quay quanh trục A, đầu B của thanh truyền chuyển động tròn, làm cho con trượt (3) chuyển động tịnh tiến qua lại trên giá đỡ (4). Nhờ đó chuyển động tròn của tay quay được biến thành chuyển động tịnh tiến qua lại của con trượt.
c) Ứng dụng
Cơ cấu trên thường được dùng ở các máy khâu đạp chân, máy cưa gỗ, máy hơi nước, các máy có động cơ đốt trong...
2. Cơ cấu tay quay thanh lắc
Cơ cấu tay quay thanh lắc biến chuyển động quay thành chuyển động lắc và ngược lại.
a) Cấu tạo
Cơ cấu tay quay thanh lắc gồm có 4 bộ phận chính: tay quay, thanh truyền, thanh lắc và giá đỡ.

b) Nguyên lí làm việc
Khi tay quay AB quay đều quanh trục A thông qua thanh truyền BC, làm thanh lắc CD lắc qua lắc lại quanh trục D một góc xác định.
c) Ứng dụng
Cơ cấu tay quay thanh lắc được ứng dụng trong nhiều loại máy như: máy dệt, máy khâu đạp chân, xe tự đẩy, ...
>>> Bài tiếp theo: Lý thuyết Công nghệ 8 Kết nối tri thức bài 8
Trên đây là toàn bộ nội dung bài Lý thuyết Công nghệ lớp 8 bài 7: Truyền và biến đổi chuyển động sách Kết nối tri thức với cuộc sống. Các em học sinh tham khảo thêm Công nghệ lớp 8 Chân trời sáng tạo và Công nghệ lớp 8 Cánh Diều. VnDoc liên tục cập nhật lời giải cũng như đáp án sách mới của SGK cũng như SBT các môn cho các bạn cùng tham khảo.