Lý thuyết Hình học 10 chương 2 bài 3
Lý thuyết hình học 10
Lý thuyết Hình học 10 chương 2 bài 3 bao gồm toàn bộ nội dung lý thuyết trọng tâm của bài học, được trình bày khoa học nhằm hỗ trợ quá trình dạy và học môn Toán đạt chất lượng.
Hình học 10 - Lý thuyết Hệ thức lượng trong tam giác
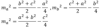
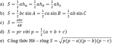
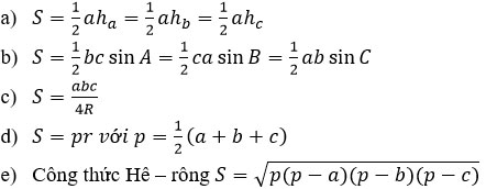
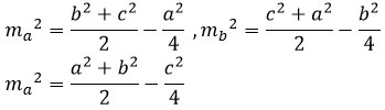
Cho tam giác ABC, BC = a, CA = b, AB = c, S là diện tích của tam giác. Giả sử ha, hb, hc lần lượt là độ dài các đường cao đi qua ba đỉnh A, B, C; ma, mb, mc lần lượt là độ dài các đường trung tuyến đi qua ba đỉnh A, B, C. R và r lần lượt là bán kính đường tròn ngoại tiếp và bán kính đường tròn nội tiếp của tam giác ABC. Ta có kết quả sau đây:
1. Định lí cosin
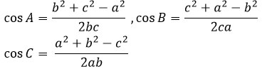
a2 = b2 + c2 - 2bccosA
b2 = a2 + c2 - 2accosB
c2 = a2 + b2 - 2abcosC
2. Hệ quả của định lí cosin

3. Công thức trung tuyến

4. Định lí sin trong tam giác
\(\frac{a}{\sin A}\) =
\(\frac{b}{\sin B}\) =
\(\frac{c}{\sin C}\) = 2R
5. Công thức diện tích
