Lý thuyết Protein
Lý thuyết Sinh học 9
Lý thuyết Protein tổng kết các nội dung cơ bản và những vấn đề cần lưu ý trong chương trình Sinh học lớp 9, là tài liệu hay giúp cho việc dạy và học của quý thầy cô cùng các em trở nên dễ dàng và hiệu quả hơn.
CHUYÊN ĐỀ SINH HỌC 9: PHÂN TỬ
Protein
I. Prôtêin
1. Cấu trúc
a. Cấu trúc hóa học
- Prôtêin là một hợp chất hữu cơ được cấu thành từ 4 nguyên tố chính là C, H, O, N và có thể có thêm S và P.
b. Cấu trúc không gian
- Prôtêin là đại phân tử hữu cơ được cấu thành từ các đơn phân là các axit amin, có hơn 20 loại axit amin khác nhau. Số lượng và trình tự các loại axit amin quy định lên tính đặc trưng của phân tử Prôtêin.
- Hơn nữa, tính đa dạng và đặc thù của Prôtêin còn được thể hiện thông qua cấu trúc không gian của nó. Ở dạng cấu trúc không gian đặc thù, Prôtêin mới thực hiện được chức năng của mình. Có 4 dạng cấu trúc không gian của Prôtêin là:
- Bậc 1: trình tự sắp xếp các axit amin trong chuỗi axit amin
- Bậc 2: là chuỗi axit amin tạo các vòng xoắn lò xo đều đặn.
- Bậc 3: hình dạng không gian 3 chiều do cấu trúc bậc 2 cuộn xếp tạo thành kiểu đặc trưng cho từng loại Prôtêin.
- Bậc 4: cấu trúc của một số loại Prôtêin gồm hai hoặc nhiều chuỗi axit amin cùng hoặc khác loại kết hợp với nhau.
2. Chức năng
Đối với tế bào và cơ thể, prôtêin có nhiều chức năng quan trọng:
- Chức năng cấu trúc
- Chức năng xúc tác các quá trình trao đổi chất
- Chức năng điều hòa các quá trình trao đổi chất
- Chức năng bảo vệ cơ thể
- Chức năng vận động tế bào và cơ thể
- Chức năng dự trữ năng lượng
3. Quá trình sinh tổng hợp Prôtêin/chuỗi axit amin/chuỗi pôlipeptit (quá trình dịch mã)
- Vị trí: diễn ra trong tế bào chất của tế bào
a, Diễn biến: 2 giai đoạn
* Giai đoạn 1: Hoạt hoá axit amin
- Dưới tác động của 1 số enzim, các a.a tự do trong môi trường nội bào được hoạt hoá và liên kết với tARN tương ứng → phức hợp a.a – tARN.
* Giai đoạn 2: Tổng hợp chuỗi pôlipeptit (3 bước)
- Bước 1. Mở đầu
- Tiểu đơn vị bé của ribôxôm gắn với mARN ở vị trí nhận biết đặc hiệu (gần bộ ba mở đầu) và di chuyển đến bộ ba mở đầu (AUG).
- aa mở đầu - tARN tiến vào bộ ba mở đầu (đối mã của nó – UAX- khớp với mã mở đầu – AUG – trên mARN theo nguyên tắc bổ sung), sau đó tiểu phần lớn gắn vào tạo riboxom hoàn chỉnh.
- Bước 2. Kéo dài chuỗi pôlipeptit
- aa1 - tARN tiến vào ribôxôm (đối mã của nó khớp với mã thứ nhất trên mARN theo nguyên tắc bổ sung), một liên kết peptit được hình thành giữa axit amin mở đầu với axit amin thứ nhất.
- Ribôxôm chuyển dịch sang bộ ba thứ 2, tARN vận chuyển axit amin mở đầu được giải phóng. Tiếp theo, aa2 - tARN tiến vào ribôxôm (đối mã của nó khớp với bộ ba thứ hai trên mARN theo nguyên tắc bổ sung), hình thành liên kết peptit giữa axit amin thứ hai và axit amin thứ nhất.
- Ribôxôm chuyển dịch đến bộ ba thứ ba, tARN vận chuyển axit amin mở đầu được giải phóng.
Quá trình cứ tiếp tục như vậy đến bộ ba tiếp giáp với bộ ba kết thúc của phân tử mARN. Như vậy, chuỗi polipeptit liên tục được kéo dài.
- Bước 3. Kết thúc
- Khi ribôxôm chuyển dịch sang bộ ba kết thúc (UAA, UAG, UGA) thì quá trình dịch mã dừng lại, 2 tiểu phần của ribôxôm tách nhau ra. Một enzim đặc hiệu loại bỏ axit amin mở đầu và giải phóng chuỗi pôlipeptit, quá trình dịch mã hoàn tất.
Trong dịch mã, mARN thường không gắn với từng riboxom riêng rẽ mà đồng thời gắn với một nhóm ribôxôm (pôliribôxôm hay pôlixôm) giúp tăng hiệu suất tổng hợp prôtêin.
* Kết quả: một chuỗi polipeptit được tạo ra theo trình tự mã hóa của gen thông qua mARN.
II. Mối liên hệ gen – tính trạng
Dựa vào quá trình hình thành ARN và quá trình tổng hợp chuỗi polipeptit/chuỗi axit amin và chức năng của prôtêin ta có thể khái quát mối liên hệ giữa gen và tính trạng như sau:

CÁC CÔNG THỨC THƯỜNG DÙNG
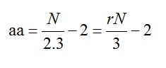
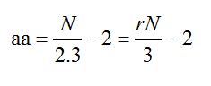
1. Số axit amin cần sử dụng là cho 1 chuỗi pôlipeptit

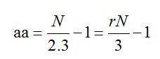
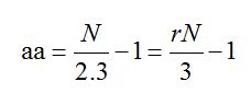
2. Số axit amin ở 1 chuỗi polipeptit hoàn chỉnh

Chuyên đề Phân tử Sinh học 9
Ngoài việc hỗ trợ tổng hợp lý thuyết Sinh học 9, VnDoc còn mang đến cho các bạn hệ thống các bài tập chuyên đề Sinh học 9 đầy đủ và chi tiết nhất có kèm đáp án trong chương trình học lớp 9.