Lý thuyết Vật lý 12 bài 20: Mạch dao động
VnDoc xin gửi tới bạn đọc bài viết Lý thuyết Vật lý 12 bài 20: Mạch dao động. Mời các bạn cùng theo dõi chi tiết bài viết dưới đây nhé
1. Mạch dao động
- Mạch dao động gồm một tụ điện có điện dung C mắc nối tiếp với một cuộn cảm có độ tự cảm L thành mạch kín.
Nếu r rất nhỏ (≈ 0): mạch dao động lí tưởng..

- Muốn mạch hoạt động thì ta tích điện cho tụ điện rồi cho nó phóng điện tạo ra một dòng điện xoay chiều trong.

- Người ta sử dụng điện áp xoay chiều được tạo ra giữa hai bản của tụ điện bằng cách nối hai bản này với mạch ngoài. Mạch ngoài ở đây là các bộ phận khác của các mạch vô tuyến.

2. Dao động điện từ tự do trong mạch dao động.
a. Sự biến thiên điện tích và cường độ dòng điện trong mạch dao động.
+ Sự biến thiên điện tích trên một bản: q = q0cos(wt + j) với: 
+ Phương trình về dòng điện trong mạch:
với: I0=q0ω
- Nếu chọn gốc thời gian là lúc tụ điện bắt đầu phóng điện:

- Vậy điện tích q của một bản tụ điện và cường độ dòng điện i trong mạch dao động biến thiên điều hoà theo thời gian; i sớm pha π2 so với q.
b. Định nghĩa dao động điện từ tự do.
Sự biến thiên điều hoà theo thời gian của điện tích q của một bản tụ điện và cường độ dòng điện (hoặc cường độ điện trường E→ và cảm ứng từ B→) trong mạch dao động gọi là dao động điện từ tự do.
c. Chu kì và tần số dao động riêng của mạch dao động.
+ Chu kì dao động riêng: 
+ Tần số dao động riêng: 
Dao động điện từ xuất hiện trong mạch trong trường hợp này được gọi là dao động điện từ riêng của mạch.
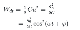
3. Năng lượng điện từ
- Tổng năng lượng điện trường tức thời trong tụ điện và năng lượng từ trường tức thời trong cuộn cảm của mạch dao động gọi là năng lượng điện từ.
- Năng lượng điện trường tức thời trong tụ điện là:

- Năng lượng điện trường tức thời trong tụ điện là:

=> Năng lượng điện từ trong mạch dao động là tổng năng lượng điện trường và từ trường:
![]()
Nếu mạch không tiêu hao năng lượng thì năng lượng của mạch được bảo toàn.
-----------------------------
Trên đây VnDoc vừa gửi tới bạn đọc bài viết Lý thuyết Vật lý 12 bài 20: Mạch dao động. Hi vọng qua bài viết này bạn đọc có thêm tài liệu để học tập tốt hơn môn Vật lý lớp 12 nhé. Mời các bạn cùng tham khảo thêm Lý thuyết Vật lý 12, Toán 12...