Lý thuyết Xác định giới tính
Lý thuyết Sinh học 9
Lý thuyết Xác định giới tính tổng kết các nội dung cơ bản và những vấn đề cần lưu ý trong chương trình Sinh học lớp 9, là tài liệu hay giúp cho việc dạy và học của quý thầy cô cùng các em trở nên dễ dàng và hiệu quả hơn.
CHUYÊN ĐỀ SINH HỌC 9: NHIỄM SẮC THỂ
Xác định giới tính
1. NST giới tính
- NST giới tính là cặp NST mang các gen quy định các tính trạng liên quan đến giới tính và một số tính trạng khác. NST giới tính tồn tại trong tế bào có thể ở trạng thái cặp tương đồng (XX) hoặc cặp ko tương đồng (XY hoặc XO).
Ví dụ: tính trạng giới tính: Ở người, NST Y mang gen SR Y còn gọi là nhân tố xác định tinh hoàn, NST X lại mang gen xác định bệnh máu khó đông.
- Giới tính ở nhiều loài được xác định nhờ sự có mặt của cặp XX hay XY trong tế bào
Ví dụ: Ở người, động vật có vú, ruồi giấm, cây gai, cây chua me, … NST giới tính ở giống đực là XY, giống cái là XX. Ở chim, ếch nhái, bò sát, bướm, dâu tây, … NST giới tính của giống cái là XY, giống đực là XX.
2. Cơ chế xác định giới tính
a. Cơ chế xác đinh
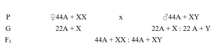
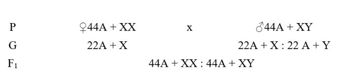
- Ở đa số các loài giao phối, giới tính được xác định trong quá trình thụ tinh.
Nhờ sự phân li của cặp NST giới tính trong quá trình hình thành giao tử, cơ thể chỉ cho một loại giao tử thuộc giới đồng giao tử (ví dụ ở người, nữ giới chỉ cho một loại trứng mang NST X), cơ thể cho 2 loại giao tử thuộc giới dị giao tử (ví dụ ở người, nam giới cho hai loại tinh trùng, một loại mang NST X còn một lọai mang NST Y).

- Tỉ lệ đực : cái xấp xỉ 1 : 1 nghiệm đúng trên số lượng cá thể đủ lớn và quá trình thụ tinh diễn ra một cách ngẫu nhiên.
- Tuy nhiên, trong các nghiên cứu ở người, tỉ lệ 1 : 1 này không hoàn toàn chính xác mà thay đổi theo các độ tuổi khác nhau.
b. Các yếu tố ảnh hưởng đến sự phân hoá giới tính
- Thuyết NST xác định giới tính không loại trừ ảnh hưởng của các nhân tố môi trường trong và ngoài lên sự phân hoá giới tính.
- Nắm được cơ chế xác định giới tính và các yếu tố ảnh hưởng đến sự phân hoá giới tính, người ta có thể chủ động điều chỉnh tỉ lệ đực : cái cho phù hợp mục đích sản xuất.
Chuyên đề Sinh học 9 Xác định giới tính
- Lý thuyết Đột biến nhiễm sắc thể
- Lý thuyết Xác định giới tính
- Lý thuyết Giao tử và thụ tinh
- Bài tập tự luận Xác định giới tính
- Câu hỏi trắc nghiệm Xác định giới tính
Ngoài việc hỗ trợ tổng hợp lý thuyết Sinh học 9, VnDoc còn mang đến cho các bạn hệ thống các bài tập chuyên đề Sinh học 9 đầy đủ và chi tiết nhất có kèm đáp án, bên cạnh đó học sinh cũng có thể tham khảo thêm các nội dung khác như: Giải bài tập Sinh 9, Giải Vở BT Sinh Học 9, ..... trong chương trình học lớp 9.