Sóng cơ truyền được trong môi trường nào?
Sóng cơ truyền được trong môi trường nào? Bài tập vận dụng
Sóng cơ và sự truyền sóng cơ là phần nội dung quan trọng được học trong chương trình Vật lý lớp 12 học kì 1. Những câu hỏi về sóng cơ và sóng âm luôn xuất hiện trong các bài thi Vật lý 12, cũng như trong bài thi tốt nghiệp THPT Quốc gia môn Lý. Vậy Sóng cơ truyền được trong môi trường nào? Để giúp các em giải đáp thắc mắc này, mời các em theo dõi bài viết dưới đây của VnDoc nhé.
1. Sóng cơ là gì? Sóng cơ truyền được trong môi trường nào?
Khi thực hiện một rung động điều hòa trên mặt nước. Chúng ta sẽ quan sát thấy các dao động rung sẽ lan truyền theo mọi hướng. Nó tạo thành những gợn sóng nhấp nhô theo đường tròn đồng tâm.
Đây là một trong những thí nghiệm về sóng cơ mà ta có thể thực hành dễ dàng nhất.
Hoặc chẳng hạn khi chúng ta nói, thanh quản sẽ rung lên mà tạo ra dao động. Dao động này sẽ truyền ra không khí theo mọi hướng khác nhau. Nếu ta đứng gần sẽ nghe âm thanh đó rất rõ. Chứng tỏ rằng dao động đó được truyền trong không khí.
Sóng cơ là các dao động cơ lan truyền trong môi trường vật chất:
+ Rắn
+ Lỏng
+ Khí
Sóng cơ không truyền được trong chân không
2. Đặc điểm của sóng cơ
Để tìm hiểu về sóng cơ truyền được trong môi trường nào. Thì khi truyền sóng đi chỉ có trạng thái dao động và năng lượng được truyền đi còn các phần từ vật chất chỉ dao động tại chỗ mà không chuyển dời theo sóng.
Ta cũng có thể tìm hiểu thêm sóng dọc truyền được trong các môi trường nào? Và tìm hiểu thêm sóng cơ truyền trong chất rắn luôn là sóng dọc. Để hiểu rõ nhất sóng cơ được truyền trong môi trường nào ta cần phải làm thí nghiệm thực tế.

3. Phân loại sóng cơ truyền được trong môi trường nào
Dựa vào phương dao động của phần tử vật chất so với phương truyền sóng để phân loại.
Sóng ngang:
Là sóng có phương dao động của phần tử vật chất của môi trường vuông góc với phương truyền sóng. Sóng ngang chỉ truyền trong chất rắn và bề mặt chất lỏng.
Sóng dọc:
Là sóng có phương dao động của phần tử vật chất của môi trường trùng với phương truyền sóng. Sóng dọc truyền trong cả 3 môi trường rắn, lỏng, khí.

4. Phương trình truyền sóng
Để hiểu được sóng cơ truyền được trong môi trường nào em nên tìm hiểu kỹ về phương trình truyền sóng.
Sóng âm có truyền được trong chân không. Và tốc độ truyền sóng phụ thuộc vào những yếu tố nào? Em hãy phân tích kỹ những nội dung trên để hiểu rõ về sóng cơ.
Phương trình dao động tại nguồn sóng
![]()
Ta gọi v chính là tốc độ lan truyền dao động của sóng
Thời gian để sóng truyền tới điểm M cách nguồn một đoạn x:
![]()
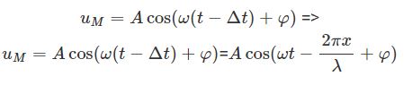
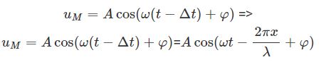
Phương trình dao động tại một điểm M cách nguồn một đoạn x:


Chú ý: Phương trình truyền sóng không phải là phương trình dao động. Vì phương trình sóng phụ thuộc vào thời gian (t) và không gian (x).
Để hiểu tất cả các kiên thức liên quan đến sóng cơ truyền được trong môi trường nào là gì? Em nên tìm hiểu và nghiên cứu các nội dung như: Sóng nào truyền được trong chân không? Sóng cơ lan truyền trong môi trường đàn hồi hay không? Và tốc độ truyền sóng cơ trong các môi trường là bao nhiêu? Em có thể tìm phát biểu sai về sóng cơ để tham khảo và hiểu rõ về sóng cơ.
5. Các dạng bài tập liên quan đến kiến thức sóng cơ truyền được trong môi trường nào?
Bài tập 1:
Cho các phát biểu sau đây về sóng cơ:
a. Sóng dọc truyền trong một môi trường thì phương dao động của các phần tử môi trường là phương thẳng đứng.
b. Sóng cơ truyền trong chất rắn luôn là sóng dọc
c. Sóng cơ truyền trong chất lỏng luôn là sóng ngang
d. Tốc độ truyền sóng phụ thuộc vào bản chất môi trường truyền sóng
e. Bước sóng là khoảng cách giữa 2 điểm mà dao động tại 2 điểm đó cùng pha
f. Bước sóng là khoảng cách giữa 2 điểm gần nhau nhất mà dao động tại hai điểm đó cùng pha
g. Phần tử của môi trường trên cùng một hướng truyền sóng và cách nhau một số nguyên lần bước sóng thì dao động cùng pha.
Số phát biểu đúng là:
A.2
B.3
C.4
D.5
Hướng dẫn giải:
Các phát biểu:
Sóng dọc truyền trong các môi trường thì phương dao động của các phần tử trùng với phương truyền sóng ⇒ (a) sai.
Sóng ngang truyền trong môi trường rắn, bề mặt chất lỏng. Sóng dọc truyền trong môi trường rắn, lỏng, khí ⇒ (b), (c) sai.
Tốc độ truyền sóng của môi trường phụ thuộc vào bản chất của môi trường ⇒ (d) đúng.
Bước sóng là khoảng cách giữa hai điểm gần nhất trên một phương truyền sóng dao động cùng pha ⇒ (e), (f) sai
Các phần tử môi trường cùng một phương truyền sóng cách nhau một số nguyên lần bước sóng luôn dao động cùng pha ⇒ (g) đúng.
⇒ Như vậy câu hỏi này có 2 phát biểu đúng.
...............................
Trên đây, VnDoc đã gửi tới các bạn tài liệu Sóng cơ truyền được trong môi trường nào?. Chắc hẳn qua bài viết bạn đọc đã nắm được những ý chính cũng như trau dồi được nội dung kiến thức của bài viết rồi đúng không ạ? Bài viết cho chúng ta thấy được những môi trường mà sóng cơ có thể truyền được. Hy vọng tài liệu sẽ giúp các em nắm vững kiến thức được học về Sóng cơ và sự truyền sóng cơ, từ đó vận dụng làm các bài tập Vật lý lớp 12 hiệu quả. Việc ông tập lý thuyết trong SGK rất quan trọng, giúp các em ghi nhớ kiến thức để vận dụng làm các bài tập trắc nghiệm cũng như tự luận môn Vật lý lớp 12 được tốt hơn.
Ngoài tài liệu trên, các bạn có thể tham khảo thêm các môn Toán 12, Ngữ văn 12, tiếng Anh 12, đề thi học kì 1 lớp 12, đề thi học kì 2 lớp 12... được cập nhật liên tục trên VnDoc để có kiến thức tổng hợp đầy đủ các môn nhé.
Để giúp các bạn có thể thuận tiện hơn trong việc chia sẻ, trao đổi kinh nghiệm tài liệu học tập cũng như giảng dạy, VnDoc.com mời bạn đọc cùng tham gia nhóm Tài liệu học tập lớp 12 để có thêm tài liệu học tập nhé