Tại sao số răng của đĩa lại nhiều hơn số răng của líp?
Chúng tôi xin giới thiệu bài Tại sao số răng của đĩa lại nhiều hơn số răng của líp? được VnDoc sưu tầm và tổng hợp lí thuyết trong chương trình giảng dạy môn Công nghệ lớp 8. Hi vọng rằng đây sẽ là những tài liệu hữu ích trong công tác giảng dạy và học tập của quý thầy cô và các bạn học sinh.
Lưu ý: Nếu bạn muốn Tải bài viết này về máy tính hoặc điện thoại, vui lòng kéo xuống cuối bài viết.
Tại sao số răng của đĩa lại nhiều hơn số răng của líp?
Câu hỏi: Tại sao số răng của đĩa lại nhiều hơn số răng của líp?
Trả lời:
Số răng của đĩa nhiều hơn số răng của líp thì số vòng quay của líp nhiều hơn số vòng quay của đĩa, giúp cho bánh sau quay nhanh, xe sẽ chuyển động nhanh hơn.
I. Tại sao cần truyền chuyển động?
- Máy hay các thiết bị cần có cơ cấu truyền chuyển động vì các bộ phận của máy thường đặt xa nhau và có tốc độ quay không giống nhau song đều được dẫn động từ một chuyển động ban đầu.
- Nhiệm vụ của các bộ truyền chuyển động là: Truyền và biến đổi tốc độ cho phù hợp với tốc độ của các bộ phận trong máy.
II. Bộ truyền động
1. Truyền động ma sát – truyền động đai
a) Cấu tạo bộ truyền động đai
- Truyền động ma sát là cơ cấu truyền chuyển động quay nhờ lực ma sát giữa các mặt tiếp xúc của vật dẫn và vật bị dẫn
Hai nhánh đai mắc song song
Hai nhánh đai mắc chéo nhau
- Gồm 3 bộ phận chính:
+ Bánh dẫn
+ Bánh bị dẫn
+ Dây đai
Giới thiệu vật liệu dây đai, bánh dẫn
+ Dây đai: làm bằng vật liệu tạo ma sát tốt
+ Bánh đai: Kim loại, gỗ…vv
Chuyển động quay nhờ lực ma sát giữa các mặt tiếp xúc của vật dẫn và vật bị dẫn
b) Nguyên lí làm việc
- Nhờ lực ma sát giữa dây đai và bánh đai, khi bánh dẫn quay thì bánh bị dẫn quay theo.
Nguyên lý làm việc
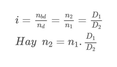
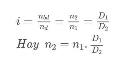
- Tỉ số truyền

- Với:
+ i là tỷ số truyền
+ nd ,n1 là tốc độ (vòng/phút) của bánh dẫn
+ nbd, n2 là tốc độ (vòng/phút) của bánh bị dẫn
+ D1: đường kính bánh dẫn
+ D2: đường kính bánh bị dẫn
- Tốc độ quay tỉ lệ nghịch với đường kính
- Bánh có đường kính lớn thì quay chậm và ngược lại
- Hai nhánh đai mắc song song thì 2 bánh quay cùng chiều.
- Hai nhánh đai mắc chéo nhau thì 2 bánh quay ngược chiều.
c) Ứng dụng
- Cấu tạo đơn giản; làm việc êm; ít ồn; có thể truyền chuyển động giữa các trục ở cách xa nhau; được sử dụng rộng rãi như: máy khâu, máy tiện, ô tô vv...
- Khi ma sát giữa bánh và dây đai không đủ đảm bảo thì chúng có thể bị trước nên tỉ số truyền bị thay đổi
- Để khắc phục sự trượt của chuyển động đai người ta dùng chuyển động ăn khớp
2. Truyền động ăn khớp
Để khắc phục sự trượt của chuyển động đai người ta dùng chuyển động ăn khớp.
a) Cấu tạo bộ truyền động
- Bánh răng: Bánh dẫn và bánh bị dẫn.
- Xích: Đĩa dẫn, đĩa bị dẫn, xích.
- Để hai bánh răng ăn khớp được với nhau thì khoảng cách giữa hai răng kề nhau trên bánh này phải bằng khoảng giữa hai răng kề nhau trên bánh kia.
- Để đĩa ăn khớp được với xích thì cỡ răng của đĩa và cỡ xích phải tương ứng.
b) Tính chất
Bánh răng 1 có số răng là Z1, tốc độ quay n1, Bánh răng 2 có số răng là Z2, tốc độ quay n2 thì tỉ số truyền i:

c) Ứng dụng
- Bộ truyền chuyển động bánh răng dùng để truyền chuyển động quay giữa các trục song song hoặc vuông góc với nhau, có tỉ số truyền xác định, được dùng nhiều trong trong hệ thống truyền động như đồng hồ, hộp số xe máy vv...
- Bộ truyền động xích dùng để truyền chuyển động quay giữa hai trục xa nhau, tỉ số truyền xác định được sử dụng xe đạp, xe máy, máy nâng chuyển vv...
III. Bài tập
Bài 1: Tại sao máy và thiết bị cần phải truyền chuyển động?
Trả lời:
Cần phải truyền chuyển động vì các bộ phận của máy thường đặt xa nhau và có tốc độ không giống nhau, song đều được dẫn động từ một chuyển động ban đầu.
Do đó, cơ cấu truyền chuyển động có nhiệm vụ truyền và biến đổi tốc độ cho phù hợp vs tốc độ của các bộ phận trong máy.
Bài 2: Để hai bánh răng ăn khớp với nhau, hoặc đĩa ăn khớp được với xích cần đảm bảo những yếu tố gì?
Trả lời
- Để hai bánh răng ăn khớp với nhau thì bước răng 2 bánh bằng nhau
- Để đĩa ăn khớp được với xích thì cỡ răng của đĩa và cỡ xích phải tương ứng
Bài 3: Cho biết phạm vi ứng dụng của các bộ truyền động?
Trả lời
Phạm vi ứng dụng là vô hạn, trong tất cả các lĩnh vực.
Ví dụ: đồng hồ, hộp số xe máy, máy gặt, máy xúc...
-------------------------------------
Trên đây chúng tôi đã giới thiệu tới các bạn nội dung bài Tại sao số răng của đĩa lại nhiều hơn số răng của líp? VnDoc xin giới thiệu tới các bạn học sinh tài liệu Lý thuyết môn Công nghệ lớp 8, Soạn Công nghệ 8 VNEN, Tài liệu học tập lớp 8 được VnDoc tổng hợp và giới thiệu tới các bạn đọc.